Fig. 8

Download original image
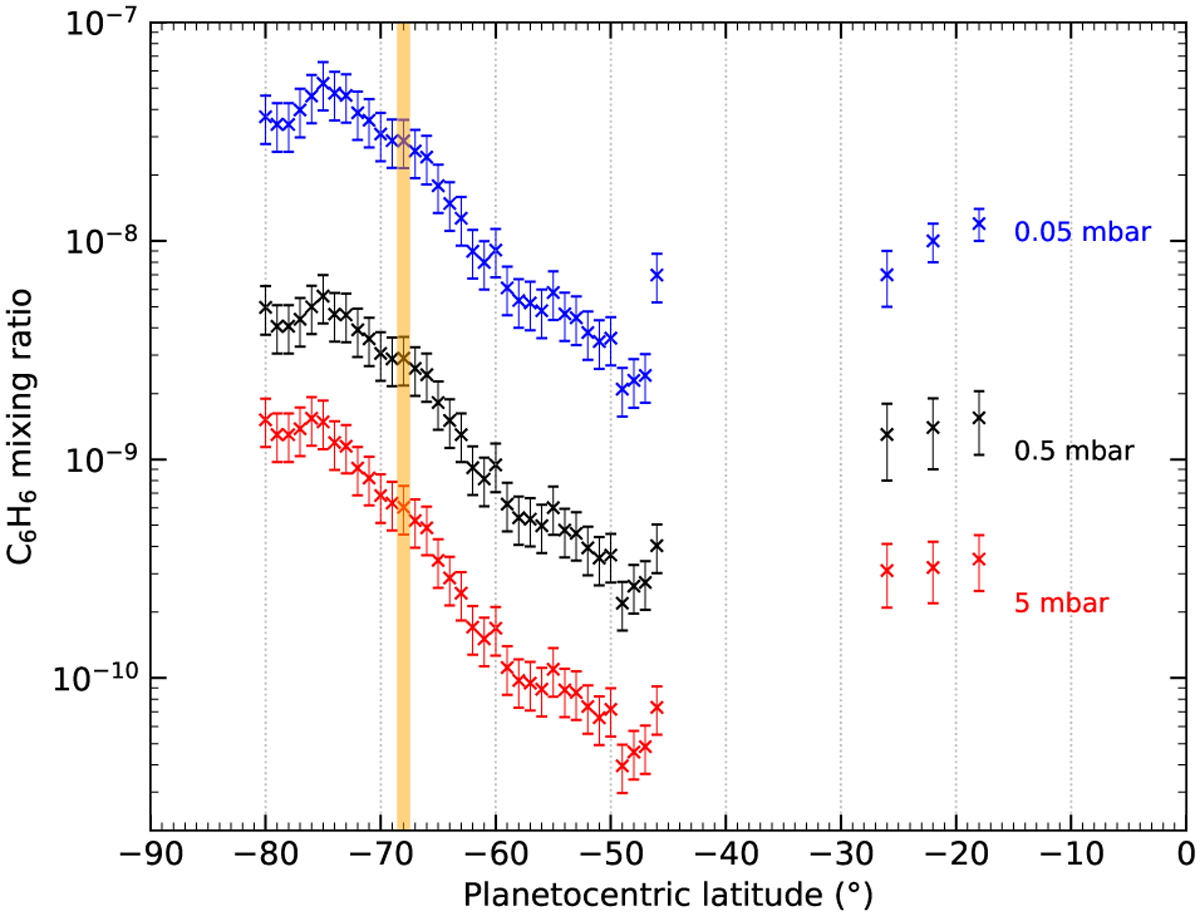
Meridional trend of C6H6 at three pressure levels, corresponding to the three different a priori profiles: 5 mbar in red, 0.5 mbar in black, and 0.05 mbar in blue. The most equatorward latitude of the outer auroral oval is marked as an orange line (Bonfond et al. 2017). The values of the GRS dataset correspond to the latitudes 18°S, 22°S and 26°S.
Current usage metrics show cumulative count of Article Views (full-text article views including HTML views, PDF and ePub downloads, according to the available data) and Abstracts Views on Vision4Press platform.
Data correspond to usage on the plateform after 2015. The current usage metrics is available 48-96 hours after online publication and is updated daily on week days.
Initial download of the metrics may take a while.