Fig. 6.

Download original image
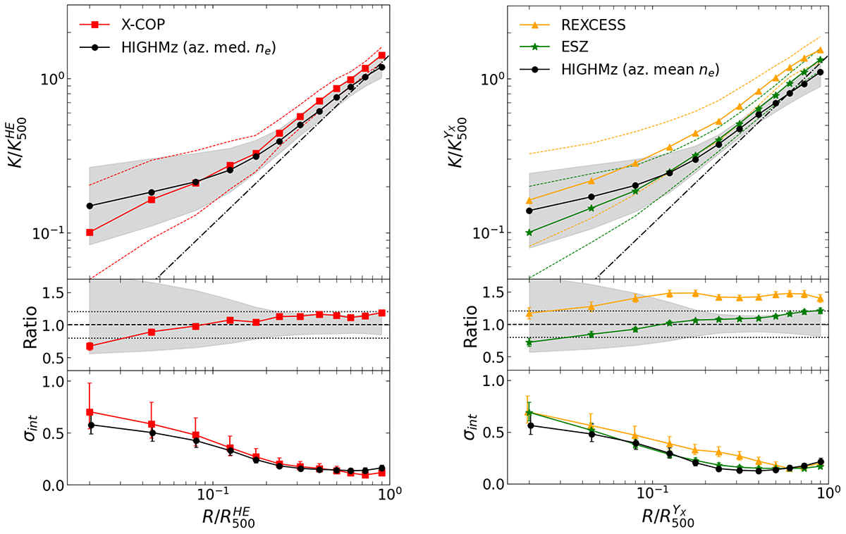
Comparison with other observational samples. On the left, we compare our results to X-COP (red squares), while on the right to REXCESS (yellow triangles) and ESZ (green stars) clusters. Top: median entropy profiles, with their intrinsic scatter. Centre: ratio to the HIGHMz median profile. The grey shaded area is the intrinsic scatter of the HIGHMz clusters, while the horizontal dotted lines indicate a 20% variation. Bottom: radial profiles of intrinsic scatter.
Current usage metrics show cumulative count of Article Views (full-text article views including HTML views, PDF and ePub downloads, according to the available data) and Abstracts Views on Vision4Press platform.
Data correspond to usage on the plateform after 2015. The current usage metrics is available 48-96 hours after online publication and is updated daily on week days.
Initial download of the metrics may take a while.