Open Access

Fig. 8

image

Download original image

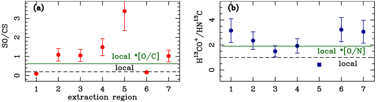
Column density ratios in the seven molecular extraction regions of WB67O. Panel (a) shows the measured SO/CS ratios (points) and compares them to the average SO/CS ratio measured in a sample of inner and local Galaxy high-mass star-forming regions (Fontani et al. 2023, dashed line) and to the expected SO/CS ratio obtained by multiplying the local measured value (0.2, dashed line) by the increase in the elemental ratio [O/C]~3.1 (horizontal green line) from the solar circle to RGC = 23.4 kpc (Méndez-Delgado et al. 2022). Panel (b) shows the same comparison between the measured H13CO+/HN13C ratio and the expected ratio obtained by multiplying the local measured value for the increase in the [O/N] elemental ratio.

Current usage metrics show cumulative count of Article Views (full-text article views including HTML views, PDF and ePub downloads, according to the available data) and Abstracts Views on Vision4Press platform.

Data correspond to usage on the plateform after 2015. The current usage metrics is available 48-96 hours after online publication and is updated daily on week days.

Initial download of the metrics may take a while.