Open Access
Fig. 4.

Download original image
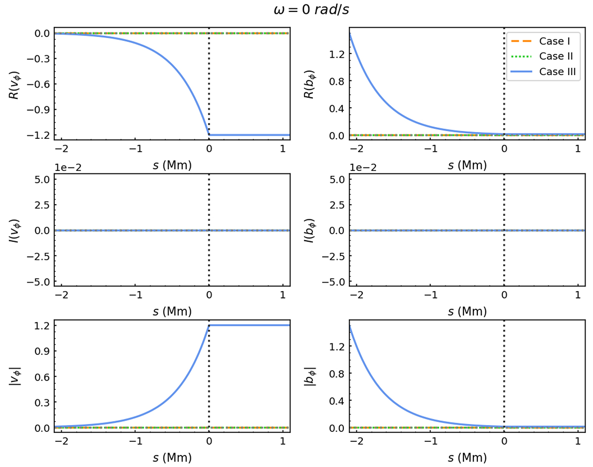
Comparison of the velocity, vϕ, and magnetic field, bϕ, perturbations for a zero frequency wave corresponding to vortex motion. Both the real and imaginary components, as well as the amplitudes are shown. The dotted vertical line indicates the interface between the lower and the upper regions.
Current usage metrics show cumulative count of Article Views (full-text article views including HTML views, PDF and ePub downloads, according to the available data) and Abstracts Views on Vision4Press platform.
Data correspond to usage on the plateform after 2015. The current usage metrics is available 48-96 hours after online publication and is updated daily on week days.
Initial download of the metrics may take a while.