Open Access

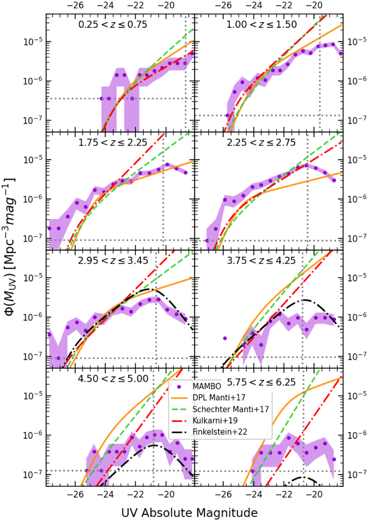
Fig. 15

image

Download original image

UV luminosity function of type 1 AGN from our catalogue (purple points) compared with different literature LFs in different red-shift bins. The purple shaded area shows the uncertainty of our values, estimated as the Poissonian error. In the case of MAMBO, the UV magnitude is computed in the GALEX FUV filter, while for the other cases, it refers to M1500. The solid orange and dashed green lines show the parametric LF from Manti et al. (2017), parameterised as a DPL and a Schechter function, respectively. The dash-dotted red and black lines show the DPL parametric LFs from Kulkarni et al. (2019) and Finkelstein & Bagley (2022), respectively. The vertical dotted line shows the break magnitude at which the galaxy contribution should start dominating the UVLF (Parsa et al. 2016), while the horizontal dashed line marks the limiting density from our lightcone (corresponding to 1 object/Mpc3/mag) for each redshift bin.

Current usage metrics show cumulative count of Article Views (full-text article views including HTML views, PDF and ePub downloads, according to the available data) and Abstracts Views on Vision4Press platform.

Data correspond to usage on the plateform after 2015. The current usage metrics is available 48-96 hours after online publication and is updated daily on week days.

Initial download of the metrics may take a while.