Open Access

Fig. 17

image

Download original image

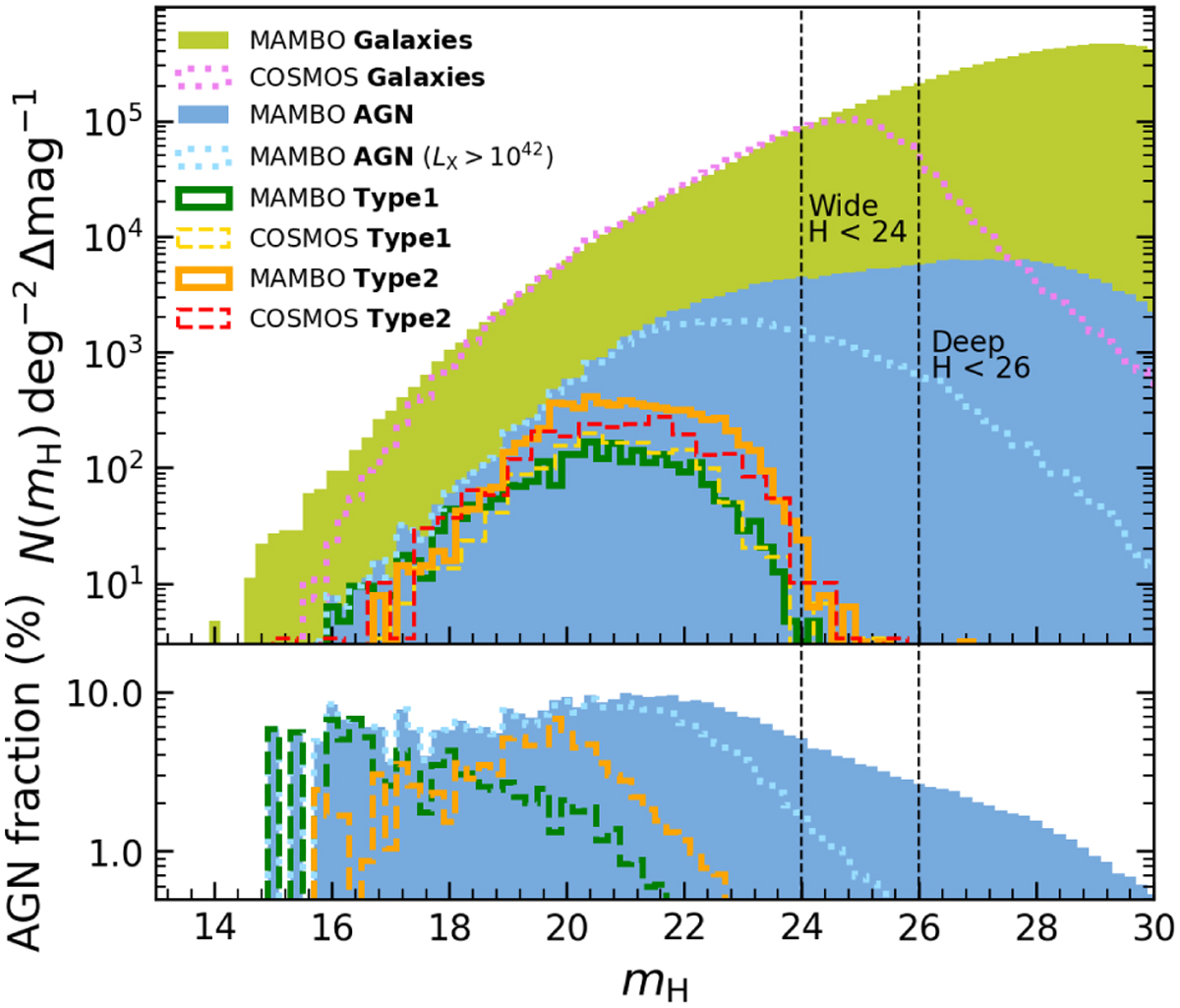
Number density counts in the mH magnitude. Galaxies and AGN from the MAMBO lightcone are represented by filled green and blue histograms, respectively. AGN selected with LX > 1042 erg s−1 are shown with a dotted cyan line. We also show the density counts for galaxies (dotted pink line) and AGN from the COSMOS catalogue (Laigle et al. 2016; Marchesi et al. 2016b), where AGN have been selected with FX > 1.9 × 10−15 erg s−1 cm−2, and separated into type 1 and 2 based on optical spectroscopic criteria (dashed yellow and red lines). The solid green and orange lines show the number density counts of type 1 and 2 AGN from our mock after applying the same cut in FX as for the COSMOS sample. We show with vertical dashed black lines the limiting magnitude of the EWS and EDS. The lower panel show the fraction of MAMBO AGN as a function of mH. The different lines represent different subpopulations of AGN, as in the upper panel.

Current usage metrics show cumulative count of Article Views (full-text article views including HTML views, PDF and ePub downloads, according to the available data) and Abstracts Views on Vision4Press platform.

Data correspond to usage on the plateform after 2015. The current usage metrics is available 48-96 hours after online publication and is updated daily on week days.

Initial download of the metrics may take a while.