Open Access

Fig. 3

image

Download original image

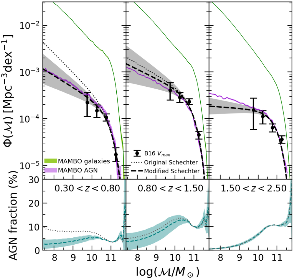
Stellar mass functions of galaxies and AGN in the three redshift bins studied in B16. The green and purple shaded areas correspond to the galaxies and AGN from the MAMBO lightcone, respectively. We also show the best-fit Schechter function to the HGMF of AGN from Bongiorno et al. (2016) with a dotted black line, and the modified Schechter fit used in this work with a dashed black line. The shaded grey area shows the uncertainty in a. Black dots with error bars show the AGN mass function computed using the Vmax method, derived in B16. The lower pannels show the AGN fraction derived as the ratio of the modified Schechter function and the galaxy mass function from MAMBO (dashed blue line), and the same but using the original Schechter function from B16 (dotted black line).

Current usage metrics show cumulative count of Article Views (full-text article views including HTML views, PDF and ePub downloads, according to the available data) and Abstracts Views on Vision4Press platform.

Data correspond to usage on the plateform after 2015. The current usage metrics is available 48-96 hours after online publication and is updated daily on week days.

Initial download of the metrics may take a while.