Open Access

Fig. 8

image

Download original image

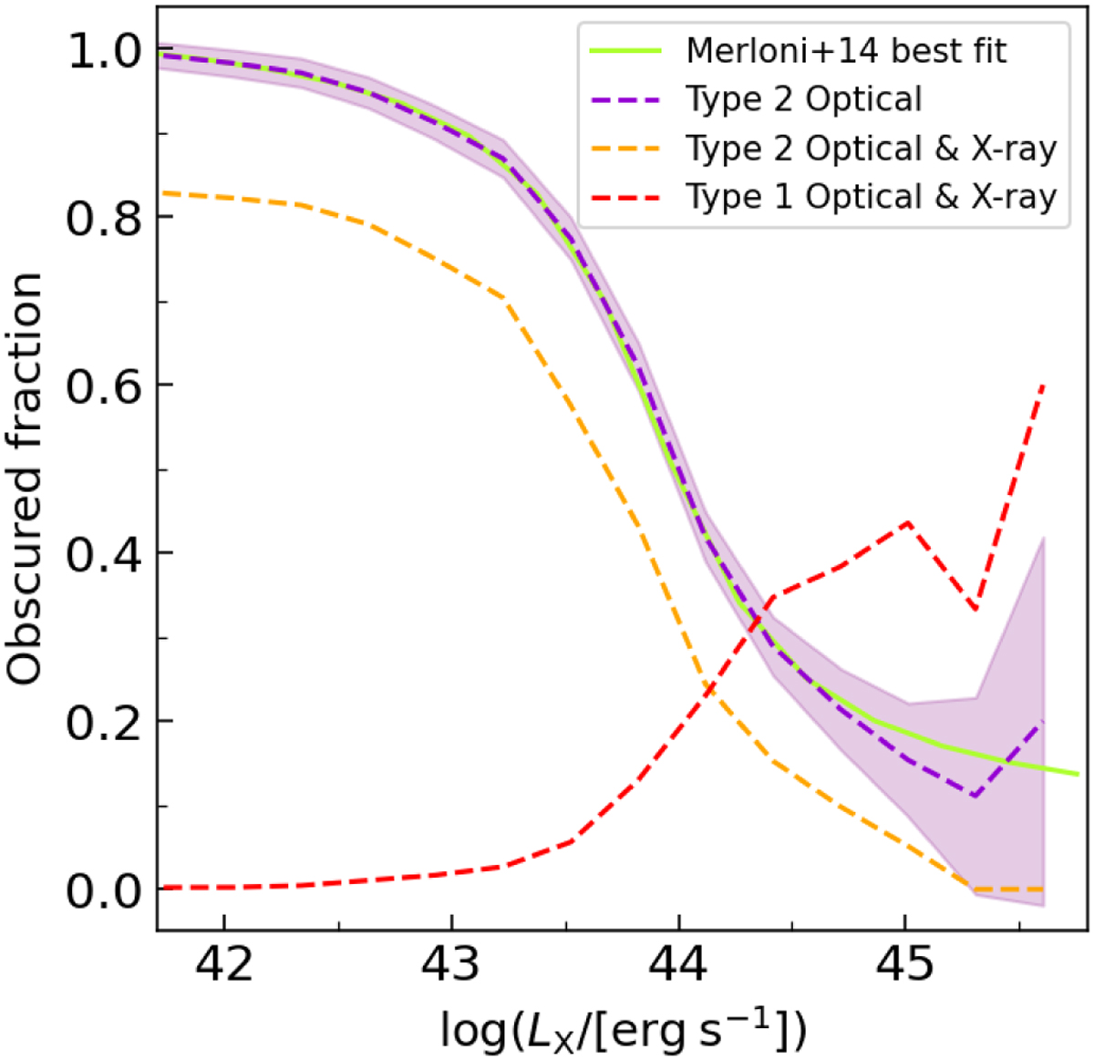
Fraction of optically obscured (type 2) AGN as a function of intrinsic X-ray luminosity. The solid green line shows the relation used to separate AGN (Eq. (4), originally from Merloni et al. 2014) into optically obscured/unobscured, while the dashed purple line shows the actual fraction of type 2 AGN in our catalogue (with the Poissonian uncertainty shown by the shaded area). The other two dashed lines give information about the X-ray obscuration (where type 1 X-ray AGN are defined as objects with logNH/cm–2 < 22 and vice-versa): the dashed orange line shows the fraction of objects classified as type 2 both in optical and the X-ray, while the dashed red line represents the fraction of all the AGN that are type 1 in both bands at the same time.

Current usage metrics show cumulative count of Article Views (full-text article views including HTML views, PDF and ePub downloads, according to the available data) and Abstracts Views on Vision4Press platform.

Data correspond to usage on the plateform after 2015. The current usage metrics is available 48-96 hours after online publication and is updated daily on week days.

Initial download of the metrics may take a while.