Open Access

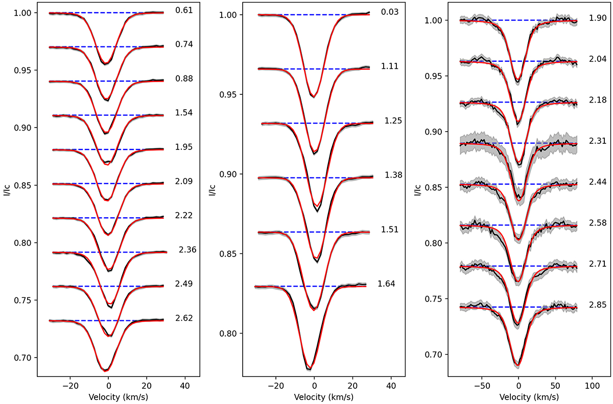
Fig. B.1.

image

Download original image

Fit (red) of the observed (black) Stokes I profiles from the ZDI reconstruction for ESPaDOnS 2016 (left), 2019 (middle) and SPIRou (right) observations. The grey-shaded area corresponds to the uncertainties in the observation, and the number at the right of each profile indicates its rotation cycle.

Current usage metrics show cumulative count of Article Views (full-text article views including HTML views, PDF and ePub downloads, according to the available data) and Abstracts Views on Vision4Press platform.

Data correspond to usage on the plateform after 2015. The current usage metrics is available 48-96 hours after online publication and is updated daily on week days.

Initial download of the metrics may take a while.