Fig. 2.

Download original image
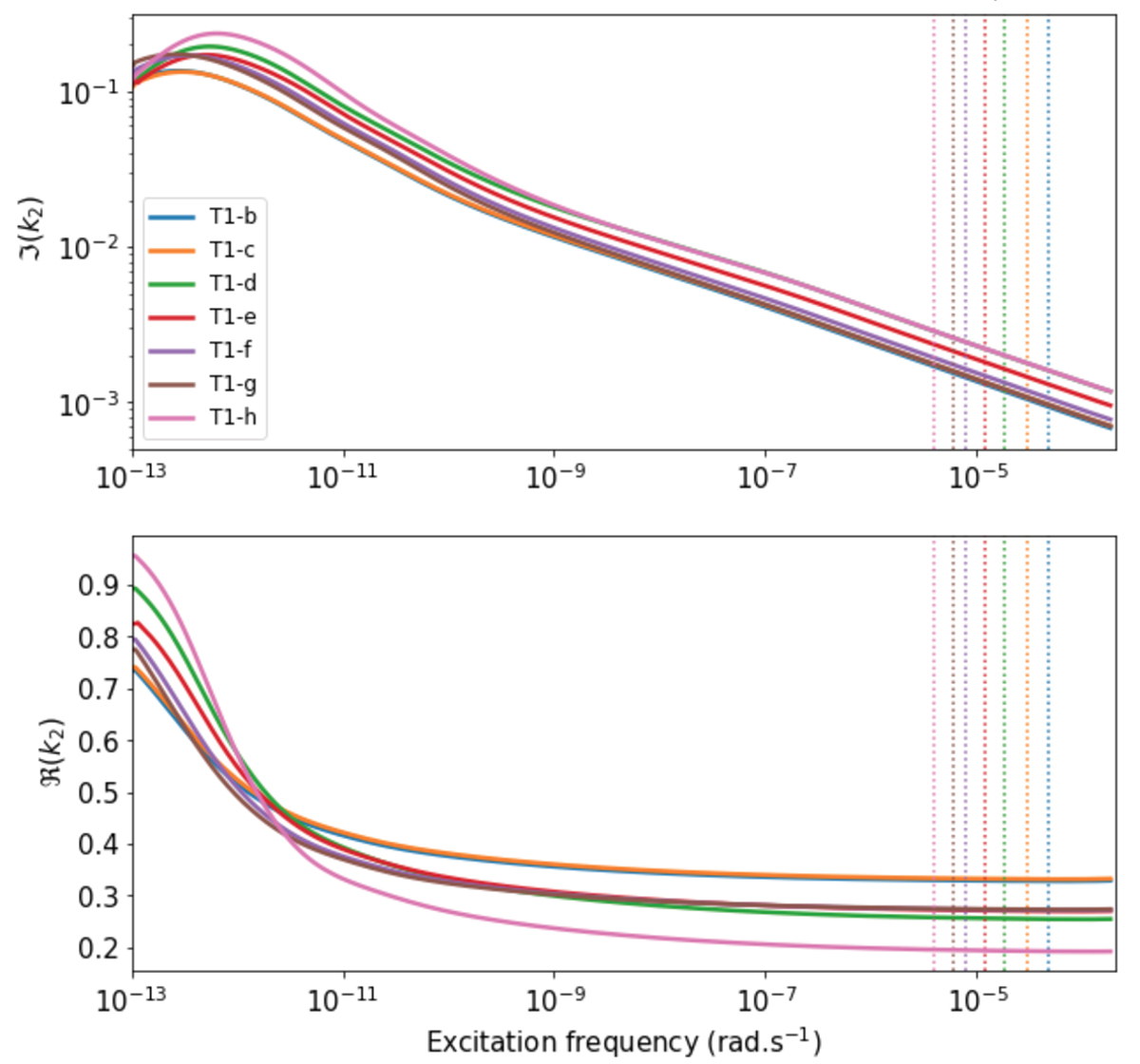
Frequency dependence of the imaginary part (ℑ(k2); top panel) and real part (ℜ(k2); bottom panel) of the Love number of the TRAPPIST-1 planets assuming Earth-like compositions, computed from the profiles presented in Sect. 2.2.1 and Fig. 1. The vertical dotted lines correspond to each planet’s principal excitation frequency (i.e., the mean motion, n) if assumed to be perfectly synchronous.
Current usage metrics show cumulative count of Article Views (full-text article views including HTML views, PDF and ePub downloads, according to the available data) and Abstracts Views on Vision4Press platform.
Data correspond to usage on the plateform after 2015. The current usage metrics is available 48-96 hours after online publication and is updated daily on week days.
Initial download of the metrics may take a while.