Open Access
Fig. 3.

Download original image
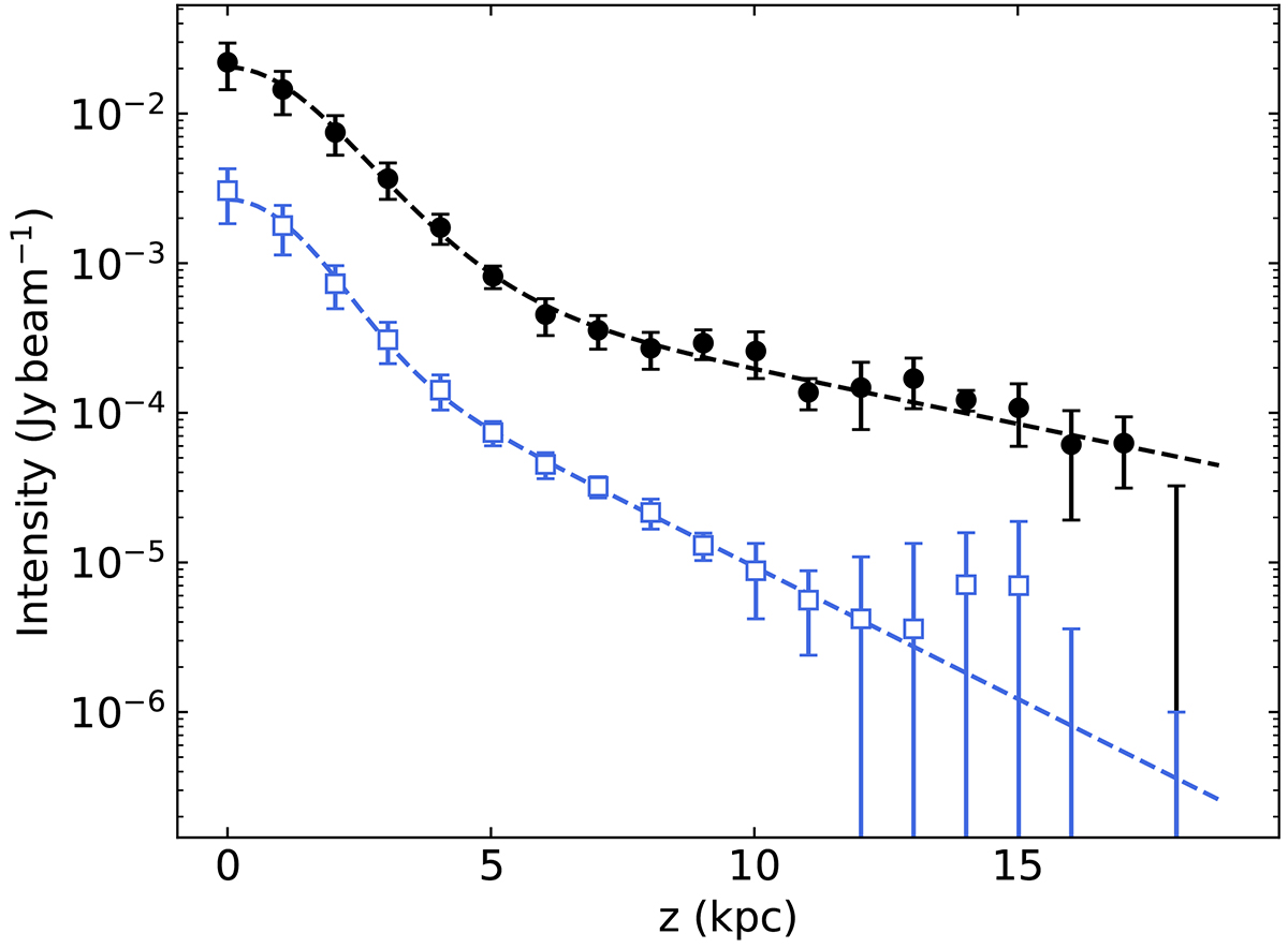
Vertical intensity profiles of the superbubble in NGC 4217. Black-filled data points show 144 MHz emission, and unfilled blue data points show 3 GHz emission. Dashed lines show two-component exponential fits that account for the limited angular resolution.
Current usage metrics show cumulative count of Article Views (full-text article views including HTML views, PDF and ePub downloads, according to the available data) and Abstracts Views on Vision4Press platform.
Data correspond to usage on the plateform after 2015. The current usage metrics is available 48-96 hours after online publication and is updated daily on week days.
Initial download of the metrics may take a while.