Open Access

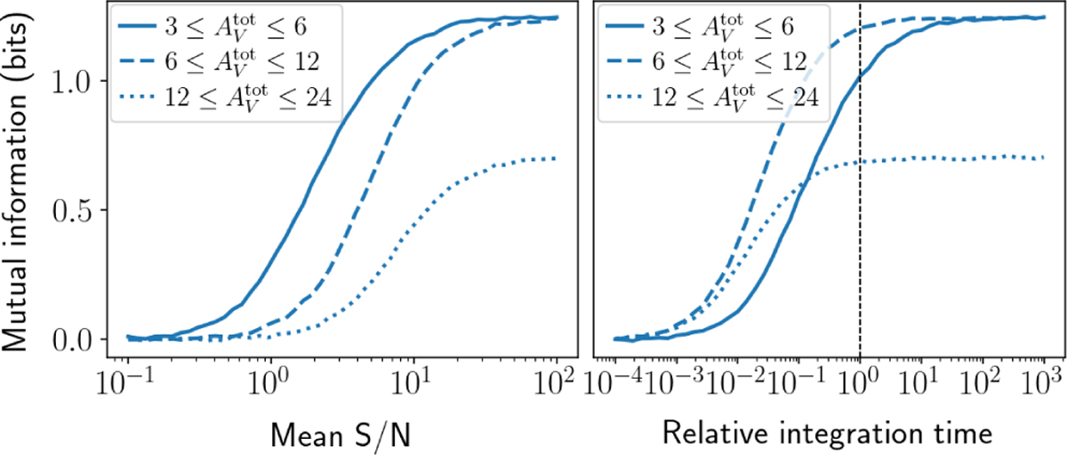
Fig. 5

image

Download original image

Evolution of mutual information between the visual extinction AVtot$\[A_{V}^{\text {tot }}\]$ and integrated line intensities as a function of S/N (left column) and integration time (right column) for different AVtot$\[A_{V}^{\text {tot }}\]$ regimes, using the example of the HCO+ (1 − 0) line.

Current usage metrics show cumulative count of Article Views (full-text article views including HTML views, PDF and ePub downloads, according to the available data) and Abstracts Views on Vision4Press platform.

Data correspond to usage on the plateform after 2015. The current usage metrics is available 48-96 hours after online publication and is updated daily on week days.

Initial download of the metrics may take a while.