Open Access

Fig. 11.

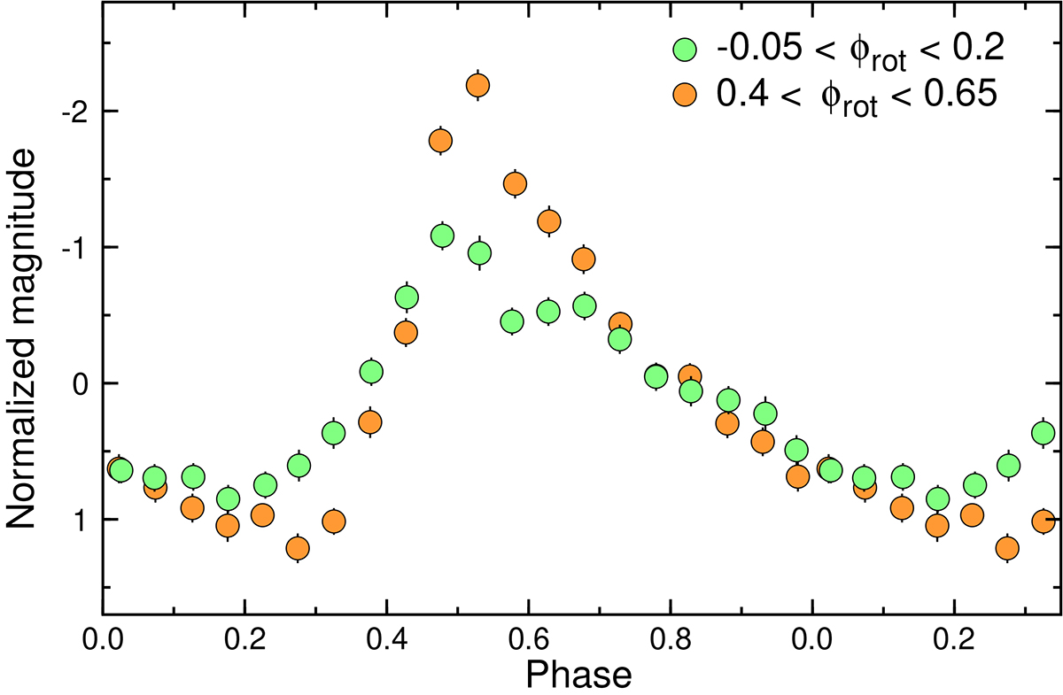
image

Download original image

Light curve of the combined data of ZGP-BLAP-08 corrected for period changes and phased with the period of P1 = 1/f1 = 0.0244008189 d for the two intervals of the rotational phase, ϕrot, between −0.05 and 0.2 (green dots), that is, near the minimum of amplitude in Fig. 10 and between 0.4 and 0.65 (orange dots), that is, near the maximum of amplitude in Fig. 10. The two ranges are marked with similar colours in the right panels of Fig. 10. The magnitudes were calculated in 0.05 phase intervals. Phase 0.0 corresponds to BJDTDB 2459200.0.

Current usage metrics show cumulative count of Article Views (full-text article views including HTML views, PDF and ePub downloads, according to the available data) and Abstracts Views on Vision4Press platform.

Data correspond to usage on the plateform after 2015. The current usage metrics is available 48-96 hours after online publication and is updated daily on week days.

Initial download of the metrics may take a while.