Open Access

Fig. 1

image

Download original image

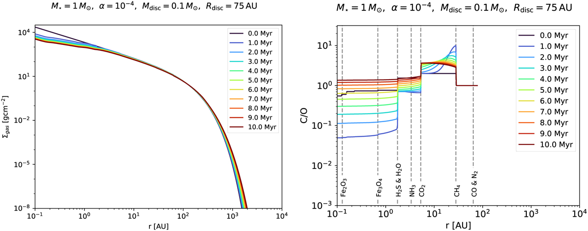
Nominal gas surface density (left panel) and the nominal carbon to oxygen fraction (right panel) as a function of disc radius for a viscous disc evolution, as given in Eq. (2). The simulations here represent the parameters outlined in Table 1, matching our standard simulations. The time evolution is shown in colour, from black, which corresponds to 0 Myr, to dark red, which corresponds to 10 Myr.

Current usage metrics show cumulative count of Article Views (full-text article views including HTML views, PDF and ePub downloads, according to the available data) and Abstracts Views on Vision4Press platform.

Data correspond to usage on the plateform after 2015. The current usage metrics is available 48-96 hours after online publication and is updated daily on week days.

Initial download of the metrics may take a while.