Open Access

Fig. 7.

image

Download original image

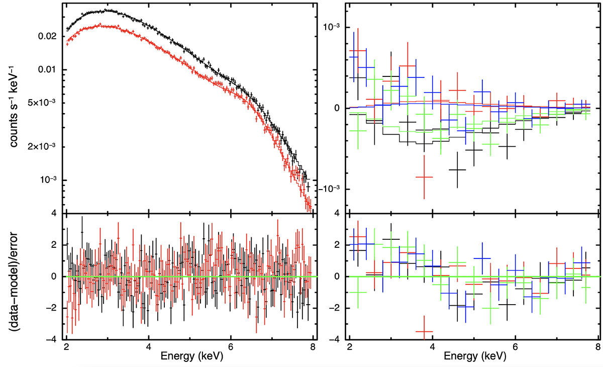
IXPE spectra. Left panel: IXPE grouped Stokes I (in black the first and in red the second observation) spectra of NGC 4151 with residuals. Right panel: Q (in black the first and in green the second observation) and U (in red the first and in blue the second observation) grouped Stokes spectra are shown with residuals.

Current usage metrics show cumulative count of Article Views (full-text article views including HTML views, PDF and ePub downloads, according to the available data) and Abstracts Views on Vision4Press platform.

Data correspond to usage on the plateform after 2015. The current usage metrics is available 48-96 hours after online publication and is updated daily on week days.

Initial download of the metrics may take a while.