Open Access

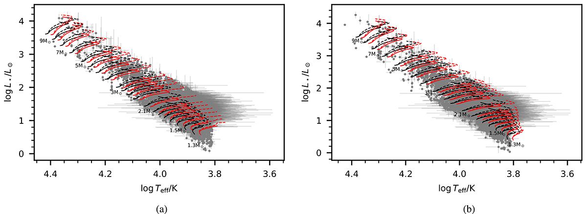
Fig. 2.

image

Download original image

Hertzsprung-Russell diagrams showing the sample of g-mode pulsators with Ppred ≥ 0.5 (grey symbols with error bars). The evolutionary tracks show the extend of the grid of rotating stellar models, covering a mass range of [1.3, 9] M, where the black (red) colour indicates ω0 = 0.05 (0.55), and the solid (dashed) line style fCBM = 0.005 (0.025).

Current usage metrics show cumulative count of Article Views (full-text article views including HTML views, PDF and ePub downloads, according to the available data) and Abstracts Views on Vision4Press platform.

Data correspond to usage on the plateform after 2015. The current usage metrics is available 48-96 hours after online publication and is updated daily on week days.

Initial download of the metrics may take a while.