Fig. 3.

Download original image
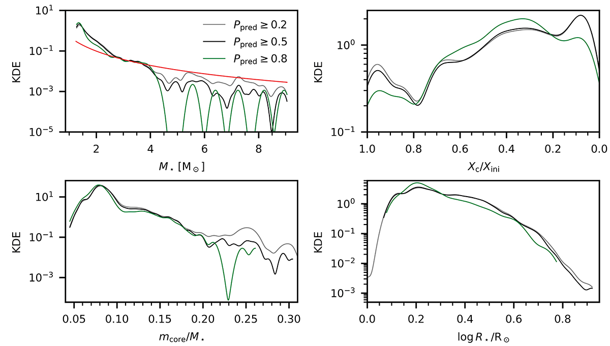
Kernel density estimations of the MLEs for the stellar mass (top-left), the fraction of initial hydrogen in the core (top-right), the fractional core mass (bottom-left), and the stellar radius (bottom-right), assuming Z = 0.0045. The different colours indicate different threshold on the classification probability from Hey & Aerts (2024) for the star to be considered a g-mode pulsator. The red line in the top-left panel corresponds to a Salpeter IMF with dN/dM ∝ M−2.35.
Current usage metrics show cumulative count of Article Views (full-text article views including HTML views, PDF and ePub downloads, according to the available data) and Abstracts Views on Vision4Press platform.
Data correspond to usage on the plateform after 2015. The current usage metrics is available 48-96 hours after online publication and is updated daily on week days.
Initial download of the metrics may take a while.