Open Access

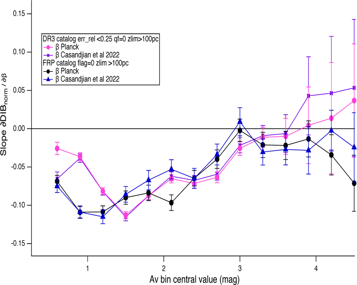
Fig. 9

image

Download original image

Ranges of gradients for extinction-normalized DIB EWs as a function of β for data from the two catalogues and in various regimes of LOS extinctions. Errors are 1σ uncertainties on the slopes. There are differences at low extinctions due to the very different types of data (individual LOSs vs spatial bins) and at high extinctions due to the small number of data points. Between 1 and 3 magnitudes of extinction, all determinations are compatible and show a negative slope.

Current usage metrics show cumulative count of Article Views (full-text article views including HTML views, PDF and ePub downloads, according to the available data) and Abstracts Views on Vision4Press platform.

Data correspond to usage on the plateform after 2015. The current usage metrics is available 48-96 hours after online publication and is updated daily on week days.

Initial download of the metrics may take a while.