Open Access

Fig. 6

image

Download original image

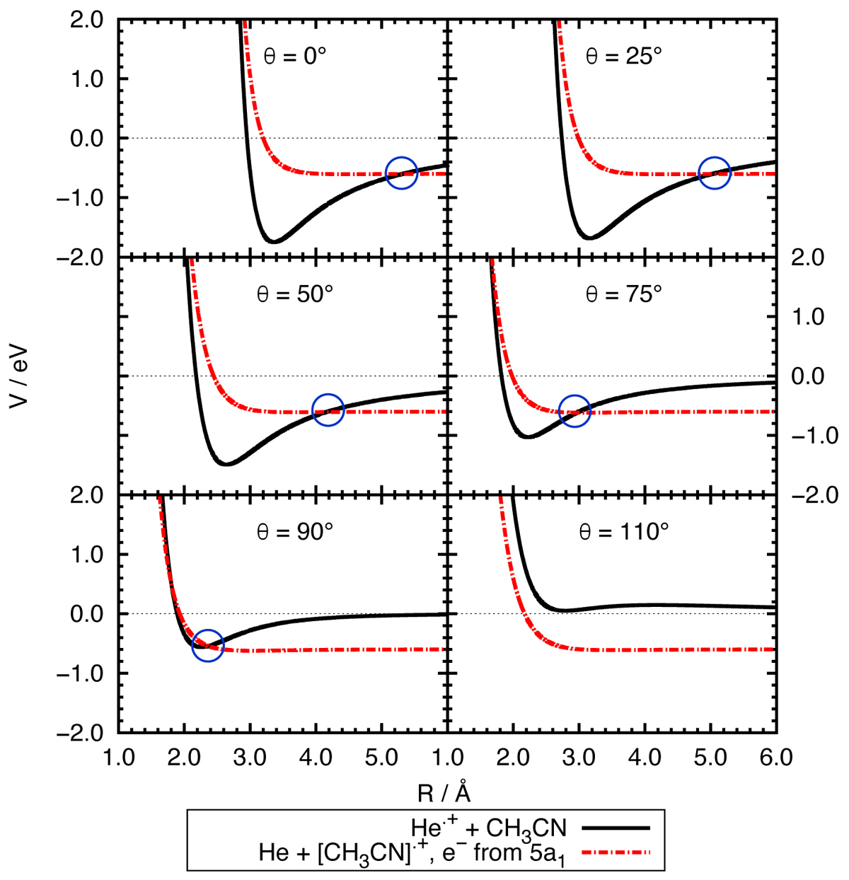
PES crossings: PE curves of the entrance He+⋅ plus CH3CN (solid black lines) and exit He plus CH3CN⋅+* (dotted-dashed red lines) channels for six different geometries determined by θ values equal to 0°, 25°, 50°, 75°, 90° and 110°. The red dotted-dashed lines have been calculated assuming the removal of an electron from the inner valence orbital 5a1 of CH3CN, thus forming the radical cation in an electronically excited state, but that such removal does not substantially change the geometry of the ion with respect to the neutral molecule. The positions of crossings are highlighted with blue circles.

Current usage metrics show cumulative count of Article Views (full-text article views including HTML views, PDF and ePub downloads, according to the available data) and Abstracts Views on Vision4Press platform.

Data correspond to usage on the plateform after 2015. The current usage metrics is available 48-96 hours after online publication and is updated daily on week days.

Initial download of the metrics may take a while.