Fig. 2.

Download original image
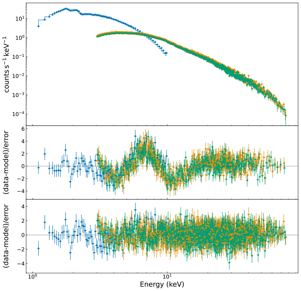
Broadband X-ray spectrum of IGR J17498−2921 as observed on 2023 April 23 by NICER (blue), NuSTAR/FPMA (orange), and NuSTAR/FPMB (green). For NICER we analyzed ObsID 6560010103 in the 1–10 keV energy band, while NuSTAR ObsID 90901317002 is in the 3–79 keV band. The fitted model is constant*TBabs*(gaussian+nthComp+rdblur*rfxconv*nthComp) (Table 1; see Sect. 3.1 for details). The bottom panel displays the residuals from the fit, while the middle panel shows the residuals obtained after removing the reflection component and repeating the fitting procedure. The data are rebinned for visual purposes.
Current usage metrics show cumulative count of Article Views (full-text article views including HTML views, PDF and ePub downloads, according to the available data) and Abstracts Views on Vision4Press platform.
Data correspond to usage on the plateform after 2015. The current usage metrics is available 48-96 hours after online publication and is updated daily on week days.
Initial download of the metrics may take a while.