Open Access

Fig. 6

image

Download original image

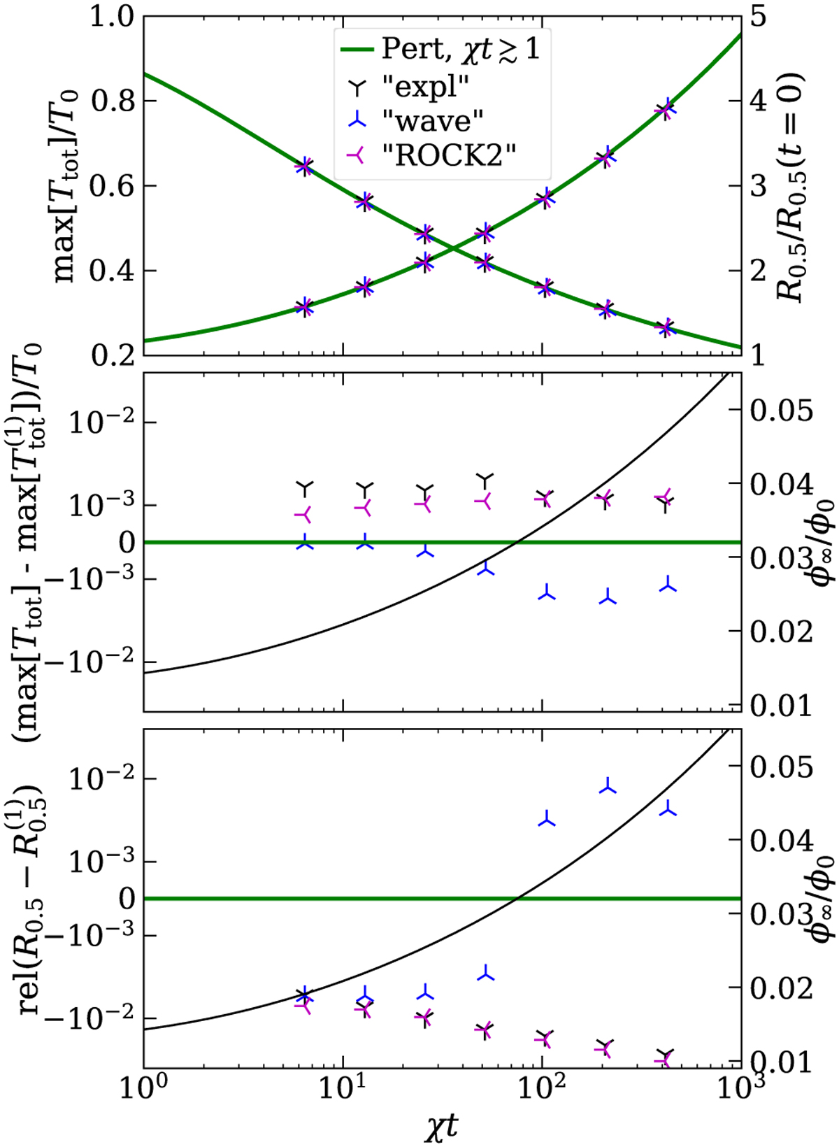
Error plot for the test of Ebysus presented in Fig. 5. See the description in the similar Fig. 4. Here, several y axes are linear and the error is shown relative to the first-order perturbation theory. The symmetric logarithmic error scales in the two bottom panels go from −4 × 10−2 to 4 × 10−2.

Current usage metrics show cumulative count of Article Views (full-text article views including HTML views, PDF and ePub downloads, according to the available data) and Abstracts Views on Vision4Press platform.

Data correspond to usage on the plateform after 2015. The current usage metrics is available 48-96 hours after online publication and is updated daily on week days.

Initial download of the metrics may take a while.