Open Access

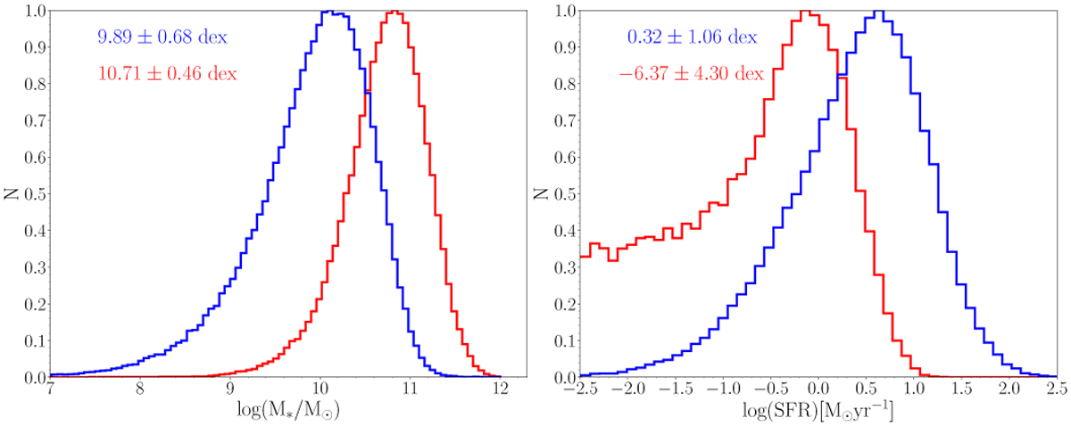
Fig. 5

image

Download original image

Stellar mass (left) and SFR (right) distributions for red (in red) and blue (in blue) BGS galaxies observed at redshift 0 < z < 0.6 with means and standard deviations reported in the legend. Red and blue galaxies are selected by the cut defined by Whitaker et al. (2012) in the UVJ diagram (see Fig. 4).

Current usage metrics show cumulative count of Article Views (full-text article views including HTML views, PDF and ePub downloads, according to the available data) and Abstracts Views on Vision4Press platform.

Data correspond to usage on the plateform after 2015. The current usage metrics is available 48-96 hours after online publication and is updated daily on week days.

Initial download of the metrics may take a while.