Open Access

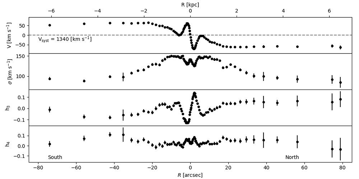
Fig. 1.

image

Download original image

Line-of-sight stellar kinematics of NGC 4494 along PA = 0°. From top to bottom: Radial profiles of the velocity, velocity dispersion, and Gauss-Hermite moments h3 and h4. The systemic velocity Vsyst is computed as the median of the measured velocities. The orientation of the long-slit is given in the bottom panel.

Current usage metrics show cumulative count of Article Views (full-text article views including HTML views, PDF and ePub downloads, according to the available data) and Abstracts Views on Vision4Press platform.

Data correspond to usage on the plateform after 2015. The current usage metrics is available 48-96 hours after online publication and is updated daily on week days.

Initial download of the metrics may take a while.