Open Access

Fig. 3

image

Download original image

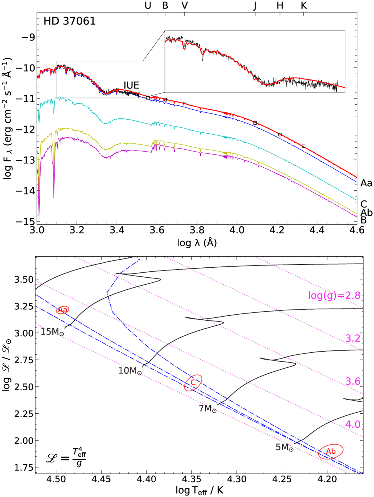
Comparison of the total SED of the HD 37061 system and the location of the individual stars in the sHRD. Upper panel: SED fit of the reddened ATLAS 9 flux (red) to observed UV spectra (black) and photometric measurements (black squares). The inset zooms in on the UV range. The individual contributions of HD 37061 Aa, Ab, B, and C are shown in blue, yellow, magenta, and cyan, respectively. Lower panel: position of the stars in the sHRD. The error ellipses outline 1σ uncertainties; the stars are labelled. Lines of constant log 𝑔 are indicated by dotted magenta lines. The evolutionary tracks of Ekström et al. (2012) for rotating stars (v/vcrit = 0.4) with solar metallicity are overlaid in black. The dash-dotted blue lines are isochrones from Ekström et al. (2012) for log τevol(yr) = 6.0, 6.5, and 7.0.

Current usage metrics show cumulative count of Article Views (full-text article views including HTML views, PDF and ePub downloads, according to the available data) and Abstracts Views on Vision4Press platform.

Data correspond to usage on the plateform after 2015. The current usage metrics is available 48-96 hours after online publication and is updated daily on week days.

Initial download of the metrics may take a while.