Open Access

Fig. 11

image

Download original image

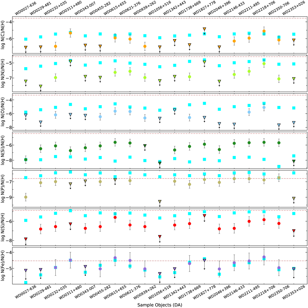
Comparison of the C, N, O, Si, S, and Fe abundances (from top to bottom) in our DAs with predictions of diffusion theory by Chayer et al. (1995b) and for P by Vennes et al. (1996). The predictions are represented by turquoise squares. The solar abundances are indicated by horizontal dashed lines. The upper limits are marked with triangles.

Current usage metrics show cumulative count of Article Views (full-text article views including HTML views, PDF and ePub downloads, according to the available data) and Abstracts Views on Vision4Press platform.

Data correspond to usage on the plateform after 2015. The current usage metrics is available 48-96 hours after online publication and is updated daily on week days.

Initial download of the metrics may take a while.