Fig. 4.

Download original image
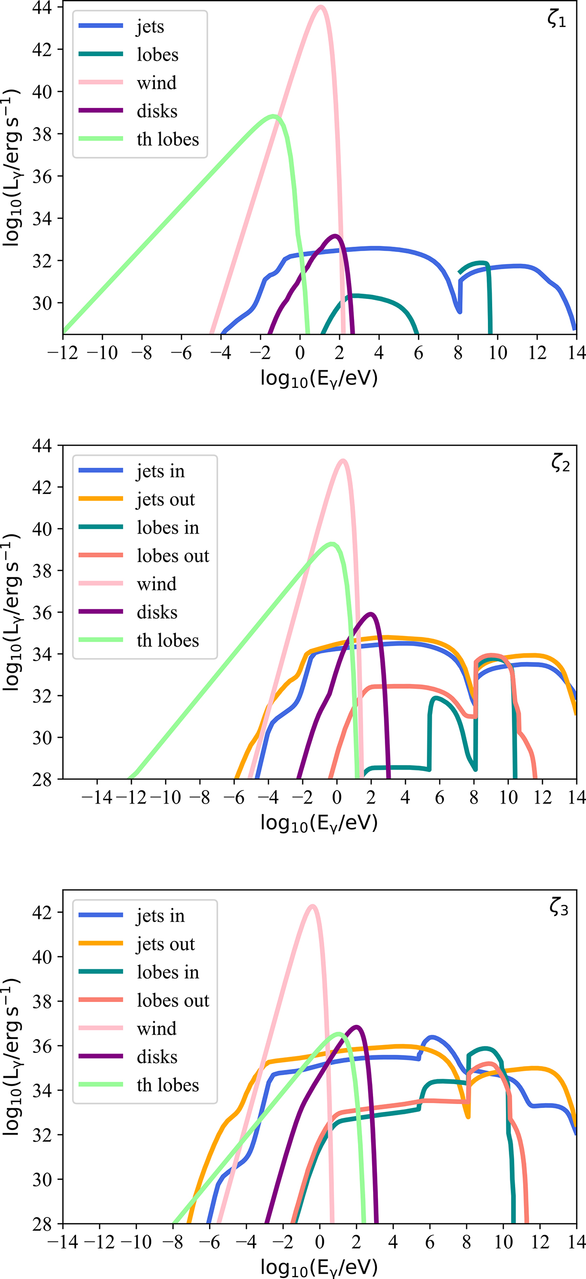
Emission of the entire system for scenarios ζ1, ζ2, and ζ3, from top to bottom. We plot the nonthermal SEDs of the base (jets) and terminal jets (lobes) for two groups of BHs, those inside (in) and outside (out) the photosphere (except for the case ζ1, where we present only the results for BHs outside the photosphere). We also plot the SEDs of the SMBH wind photosphere, the accretion disks of the BHs, and the thermal lobes (th lobes) outside the photosphere.
Current usage metrics show cumulative count of Article Views (full-text article views including HTML views, PDF and ePub downloads, according to the available data) and Abstracts Views on Vision4Press platform.
Data correspond to usage on the plateform after 2015. The current usage metrics is available 48-96 hours after online publication and is updated daily on week days.
Initial download of the metrics may take a while.