Open Access

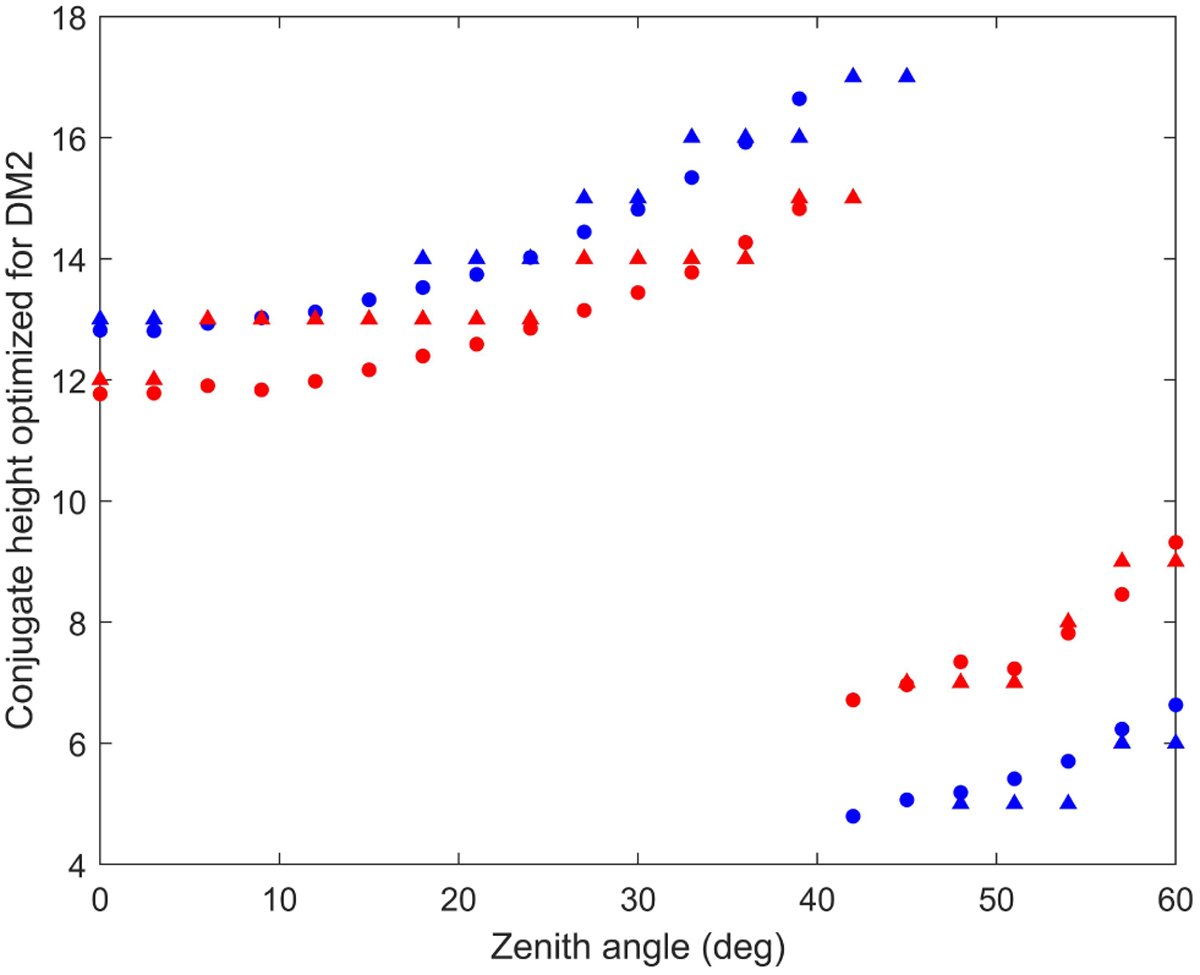
Fig. 8

image

Download original image

Zenith angle as a function of the conjugate height optimized for DM2. The turbulence models are CP7 (blue) and ORM7 (red), with DM1 fixed at the pupil plane. Circles represent the results from the optimization method proposed in this paper, while triangles represent the DASP simulation results. In the DASP simulations, the conjugate height of DM2 is selected at 1 km intervals.

Current usage metrics show cumulative count of Article Views (full-text article views including HTML views, PDF and ePub downloads, according to the available data) and Abstracts Views on Vision4Press platform.

Data correspond to usage on the plateform after 2015. The current usage metrics is available 48-96 hours after online publication and is updated daily on week days.

Initial download of the metrics may take a while.