Fig. 1.

Download original image
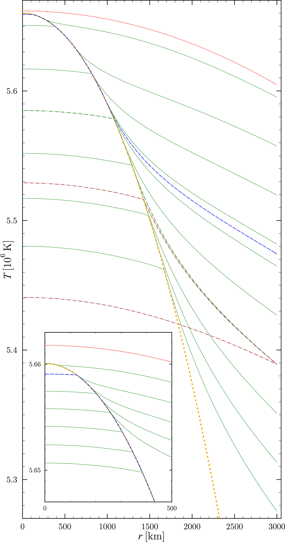
Internal temperature profile of the cooling WD model at various times. We show the initial profile (dotted red), the profile shortly after the formation of the fully crystallized core (long-dashed blue), three profiles at 45.6 Myr since the beginning of the modeling (dot-dashed green for the default latent heat value, dot-dashed brown for twice lower and zero latent heat values), and profiles at other times (solid green; see the main text for details). The crystallization temperature is shown with thick short orange dashes.
Current usage metrics show cumulative count of Article Views (full-text article views including HTML views, PDF and ePub downloads, according to the available data) and Abstracts Views on Vision4Press platform.
Data correspond to usage on the plateform after 2015. The current usage metrics is available 48-96 hours after online publication and is updated daily on week days.
Initial download of the metrics may take a while.