Fig. A.2

Download original image
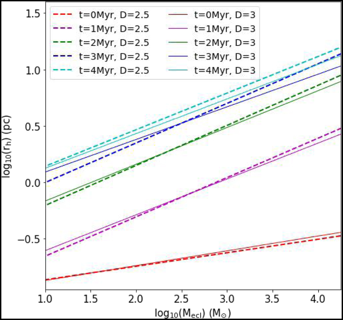
Comparison of the expanding lines for clusters with and without fractalization. The settings for other parameters are the same as described in Sec. 2.1. We arranged a fractal distribution of stars within a sphere of constant average density, following a similar method as outlined in Goodwin & Whitworth (2004). The likelihood of a sub-box receiving a star can be represented by 2D–3, where D represents the fractal dimension. When D is set to 3.0, there is no fractality observed since the probability becomes one. More details can be found in Küpper et al. (2011) and the user manual for the McLuster code.
Current usage metrics show cumulative count of Article Views (full-text article views including HTML views, PDF and ePub downloads, according to the available data) and Abstracts Views on Vision4Press platform.
Data correspond to usage on the plateform after 2015. The current usage metrics is available 48-96 hours after online publication and is updated daily on week days.
Initial download of the metrics may take a while.