Fig. A.2.

Download original image
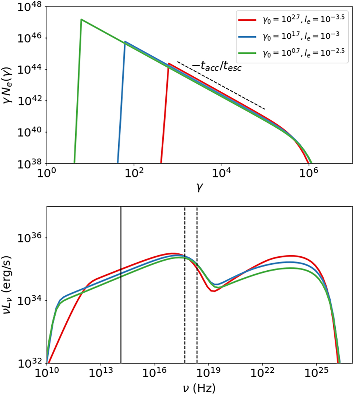
Effects of the minimum electron Lorentz factor on particle and photon spectra of a nonthermal flare. Top panel: Electron distribution Ne(γ) multiplied by γ for different values of the initial Lorentz factor γ0 and electron compactness ℓe (see inset legend). All other parameters are the same as in Table 1. Bottom panel: SSC spectra produced by the electron distributions shown on the left panel. The snapshots shown in both panels are computed at t = 11tacc, 14.5tacc, 17tacc for γ0 = 103.5, 102.7 and 100.7 respectively.
Current usage metrics show cumulative count of Article Views (full-text article views including HTML views, PDF and ePub downloads, according to the available data) and Abstracts Views on Vision4Press platform.
Data correspond to usage on the plateform after 2015. The current usage metrics is available 48-96 hours after online publication and is updated daily on week days.
Initial download of the metrics may take a while.