Open Access

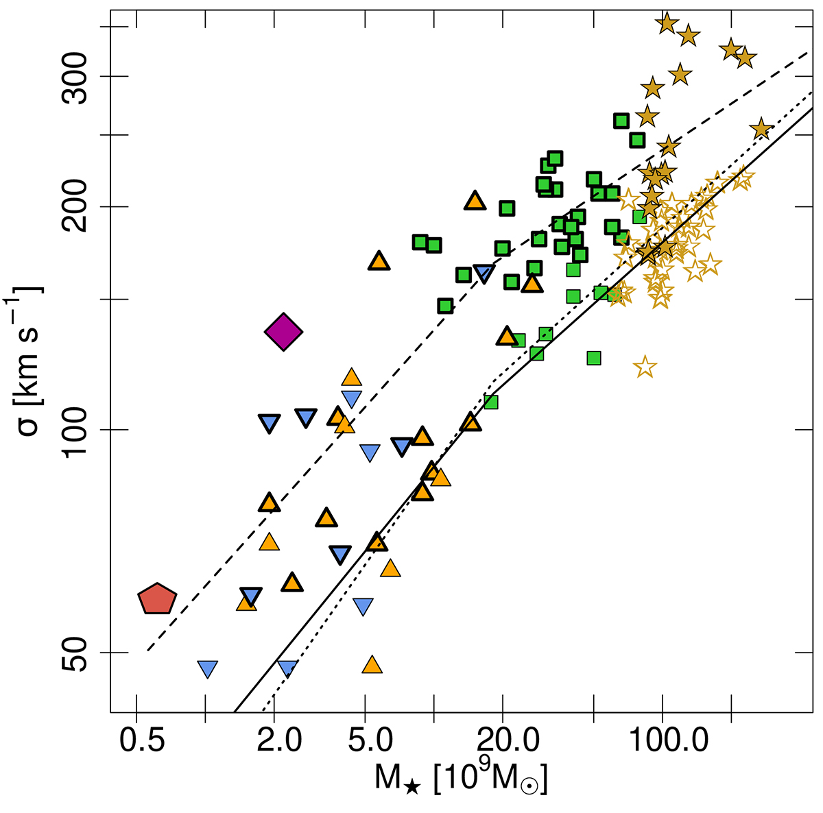
Fig. 7.

image

Download original image

Velocity dispersion (σLOS) plotted against M for FS90 110 (large diamond) and FS90 192 (large pentagon), alongside a sample of cEs and massive compact galaxies from the literature. The symbol coding follows that of Fig. 5, and the framed symbols depict cEs with mean ages above 10 Gyr. The solid lines represent the scaling relation for quiescent galaxies from Zahid et al. (2016). The dashed lines show the function fitted to these cEs, while the dotted ones correspond to cEs younger than 10 Gyr.

Current usage metrics show cumulative count of Article Views (full-text article views including HTML views, PDF and ePub downloads, according to the available data) and Abstracts Views on Vision4Press platform.

Data correspond to usage on the plateform after 2015. The current usage metrics is available 48-96 hours after online publication and is updated daily on week days.

Initial download of the metrics may take a while.