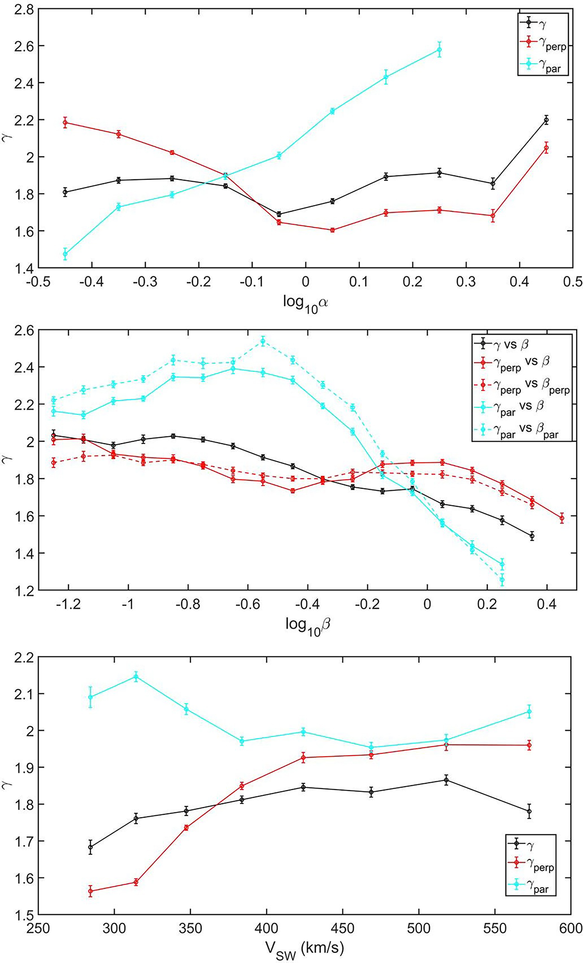
Fig. 4.

Download original image
Dependence of the partial polytropic index to anisotropy, plasma β and solar wind speed. Top panel: ,
, and
(black, red, and cyan solid lines, respectively) as a function of log10(α). Middle panel:
,
, and
(black, red, and cyan solid lines, respectively) as a function of log10(β). Bottom panel:
,
, and
(black, red, and cyan solid lines, respectively) as a function of solar wind speed.
Current usage metrics show cumulative count of Article Views (full-text article views including HTML views, PDF and ePub downloads, according to the available data) and Abstracts Views on Vision4Press platform.
Data correspond to usage on the plateform after 2015. The current usage metrics is available 48-96 hours after online publication and is updated daily on week days.
Initial download of the metrics may take a while.