Open Access

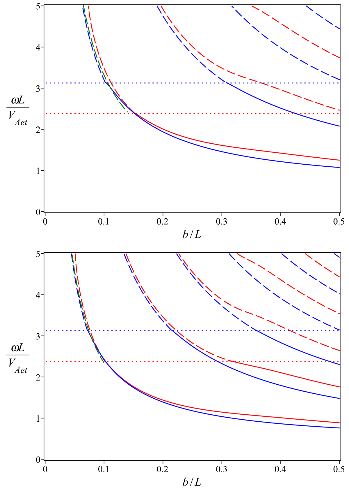
Fig. 3.

image

Download original image

Dependences of the normalised frequencies of the sausage modes upon the aspect ratio, shown for a straight slab (blue curves) and for a curved and expanding slab with expansion factor Γ = 2 (red curves). The calculations were performed for the density contrasts χ = 1/25 (upper panel) and χ = 1/50 (lower panel). The horizontal dotted lines mark the positions of cut-off frequencies in both models. The solid and dashed curves correspond to the trapped and leaky regimes, respectively. The green dashed curves are obtained with approximate relation in Eq. (70).

Current usage metrics show cumulative count of Article Views (full-text article views including HTML views, PDF and ePub downloads, according to the available data) and Abstracts Views on Vision4Press platform.

Data correspond to usage on the plateform after 2015. The current usage metrics is available 48-96 hours after online publication and is updated daily on week days.

Initial download of the metrics may take a while.