Fig. 9

Download original image
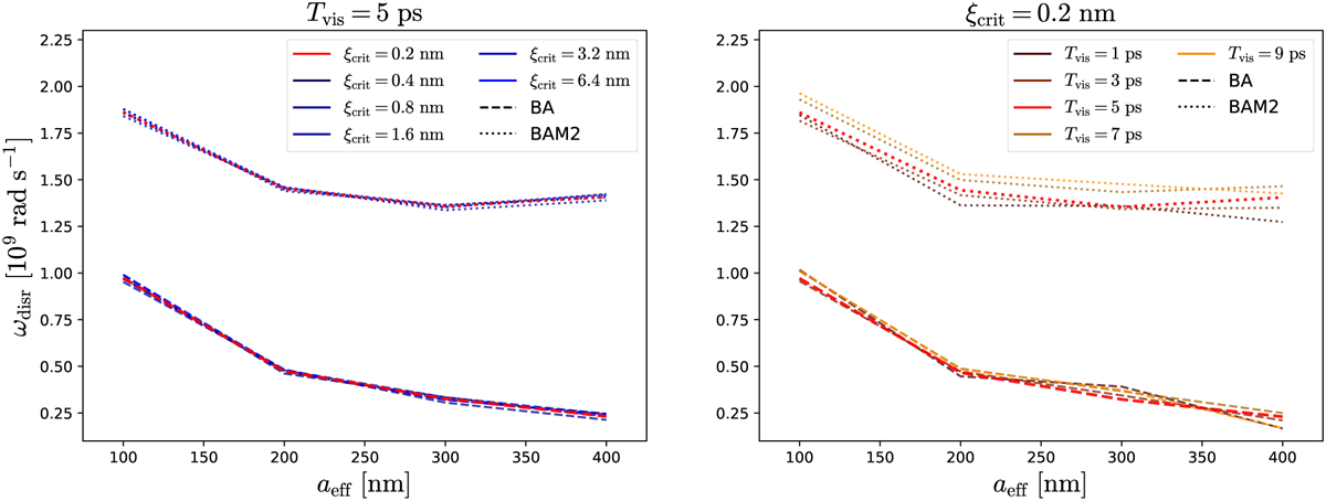
Same as Fig. 7 but only for a-C BA (dashed lines) and BAM2 (dotted lines) grains. The left panel shows the impact of critical rolling displacement ξcrit ∈ [0.2 nm, 6.4 nm] on ωdisr, while the viscous dumping time Tvis remains constant. The right panel is for a constant ξcrit but with Tvis ∈ [1 ps, 9 ps]. Red lines represent the default parameters of our N-body disruption simulations.
Current usage metrics show cumulative count of Article Views (full-text article views including HTML views, PDF and ePub downloads, according to the available data) and Abstracts Views on Vision4Press platform.
Data correspond to usage on the plateform after 2015. The current usage metrics is available 48-96 hours after online publication and is updated daily on week days.
Initial download of the metrics may take a while.