Fig. 4

Download original image
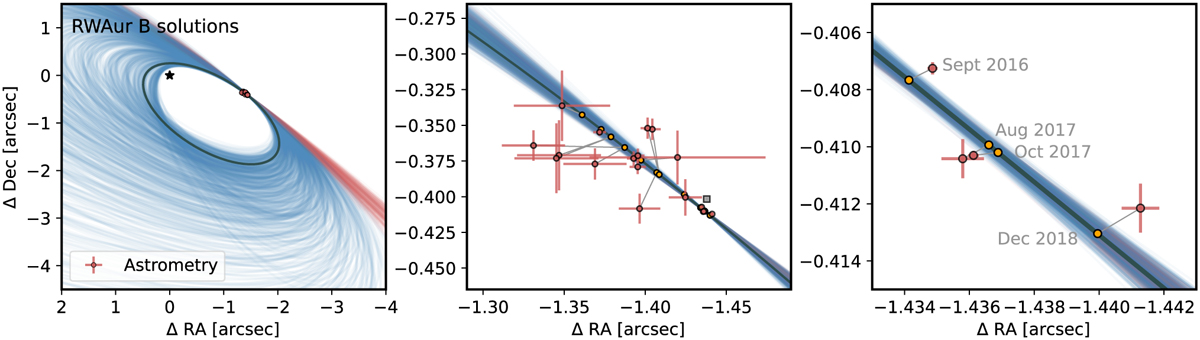
1000 randomly sampled orbital solutions are shown from a larger field of view in the left panel, to a small zoomed region in the right panel. The solid dark line shows the solution with highest likelihood. The blue orbits are elliptical solutions, and the red orbits are hyperbolic solutions. The astrometry considered in this work is shown with red markers, and the position of RW Aur B with best model is shown as orange circles at the same epoch as the astrometric measurements. For reference, Gaia DR3 astrometry is shown with a gray square in the middle panel. The uncertainty from Gaia is smaller than the symbol size.
Current usage metrics show cumulative count of Article Views (full-text article views including HTML views, PDF and ePub downloads, according to the available data) and Abstracts Views on Vision4Press platform.
Data correspond to usage on the plateform after 2015. The current usage metrics is available 48-96 hours after online publication and is updated daily on week days.
Initial download of the metrics may take a while.