Fig. 6.

Download original image
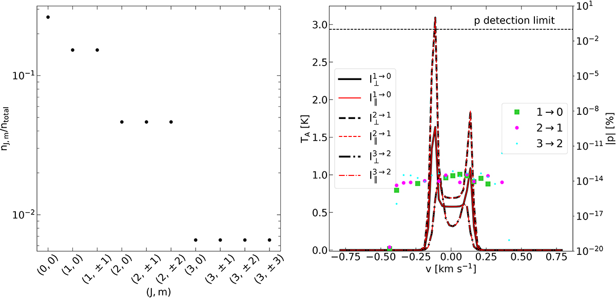
Our results for a multilevel molecule under LTE conditions. Left panel: Population fraction of the different magnetic sublevels at the center of the core (r = z = 0) under LTE conditions. Similarly to the two-level approximation, the level populations of the magnetic sublevels of the same rotational level are equal under LTE conditions. Right panel: Spectra of the different transitions toward the center of the cloud (i.e., R = Z = 0) and the corresponding polarization fraction (right y axis; see legends for the definition of the different linestyles and colors). Once again, any spurious polarization for any pair of rotational transitions is zero to numerical accuracy. The underlying physical model used for these radiative-transfer simulations is shown in Fig. 3.
Current usage metrics show cumulative count of Article Views (full-text article views including HTML views, PDF and ePub downloads, according to the available data) and Abstracts Views on Vision4Press platform.
Data correspond to usage on the plateform after 2015. The current usage metrics is available 48-96 hours after online publication and is updated daily on week days.
Initial download of the metrics may take a while.