Fig. 8.

Download original image
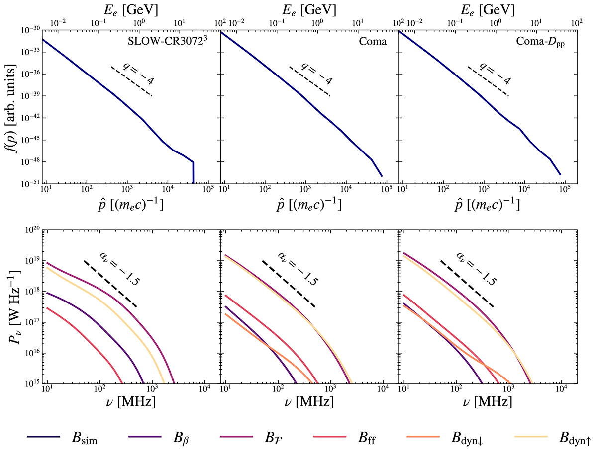
Momentum and synchrotron spectra of CR electron populations in the filament segment indicated in Fig. E.1. Top panels: Sum of all momentum spectra for particles contained in the selected region. Bottom panels: Synchrotron spectra of the selected regions under the assumption of varying magnetic field models, as is indicated by the colors. In all cases, the simulated magnetic field strength is too low to produce synchrotron emission visible in the plotted range.
Current usage metrics show cumulative count of Article Views (full-text article views including HTML views, PDF and ePub downloads, according to the available data) and Abstracts Views on Vision4Press platform.
Data correspond to usage on the plateform after 2015. The current usage metrics is available 48-96 hours after online publication and is updated daily on week days.
Initial download of the metrics may take a while.