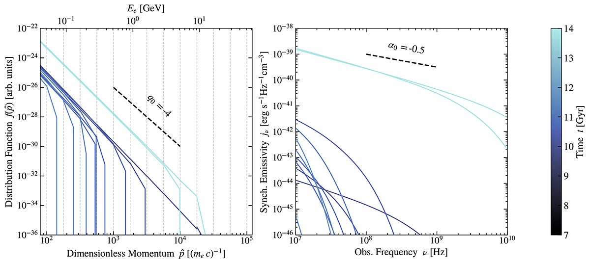
Fig. 9.

Download original image
Momentum- and synchrotron spectrum of an arbitrarily chosen SPH particle with an active CR electron population. We show the spectra at every second available output time between z = 1 and z = 0 in the COMA simulation. Left: Momentum spectrum of the electron population in the momentum range relevant for synchrotron emission. Dashed lines indicate the momentum bin boundaries imposed in our CR scheme. Right: The resulting synchrotron emissivity spectrum of the same electron population.
Current usage metrics show cumulative count of Article Views (full-text article views including HTML views, PDF and ePub downloads, according to the available data) and Abstracts Views on Vision4Press platform.
Data correspond to usage on the plateform after 2015. The current usage metrics is available 48-96 hours after online publication and is updated daily on week days.
Initial download of the metrics may take a while.