Open Access

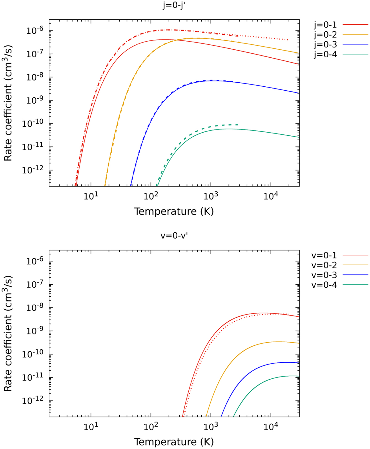
Fig. A.1

image

Download original image

Thermal rate coefficients for several rotational (upper panel) and vibrational (lower panel) excitation transitions of HeH+. Solid lines in both panels are calculated rate coefficients by Ayouz & Kokoouline (2019), dashed lines in the upper panel are the calculations by Hamilton et al. (2016), and dotted lines in both panels indicate our CB data.

Current usage metrics show cumulative count of Article Views (full-text article views including HTML views, PDF and ePub downloads, according to the available data) and Abstracts Views on Vision4Press platform.

Data correspond to usage on the plateform after 2015. The current usage metrics is available 48-96 hours after online publication and is updated daily on week days.

Initial download of the metrics may take a while.