Fig. 2

Download original image
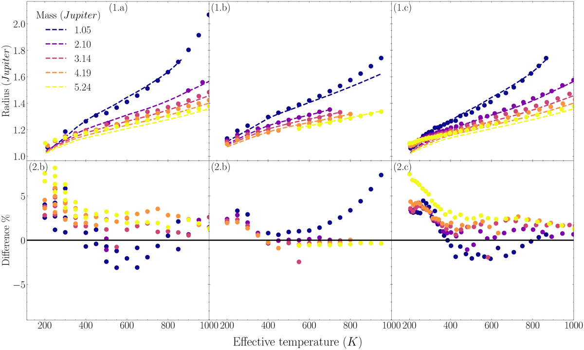
Comparison between results from this work and available work using similar physical properties. Top row (2): (a) Comparison between the radius obtained in this work using the ab initio EOS of Mazevet et al. (2022) and the results of Phillips et al. (2020), who use the ab initio EOS of Chabrier et al. (2019). (b) Comparison between the radius obtained using the developed interior-atmosphere model using the SCVH EOS with the results of Marley et al. (2021), who also use the SCVH EOS (Saumon et al. 1995). (c) Our interpolated ab initio EOS grid compared to Phillips et al. (2020). Bottom row (2a, b, and c): Corresponding percentage differences.
Current usage metrics show cumulative count of Article Views (full-text article views including HTML views, PDF and ePub downloads, according to the available data) and Abstracts Views on Vision4Press platform.
Data correspond to usage on the plateform after 2015. The current usage metrics is available 48-96 hours after online publication and is updated daily on week days.
Initial download of the metrics may take a while.