Open Access
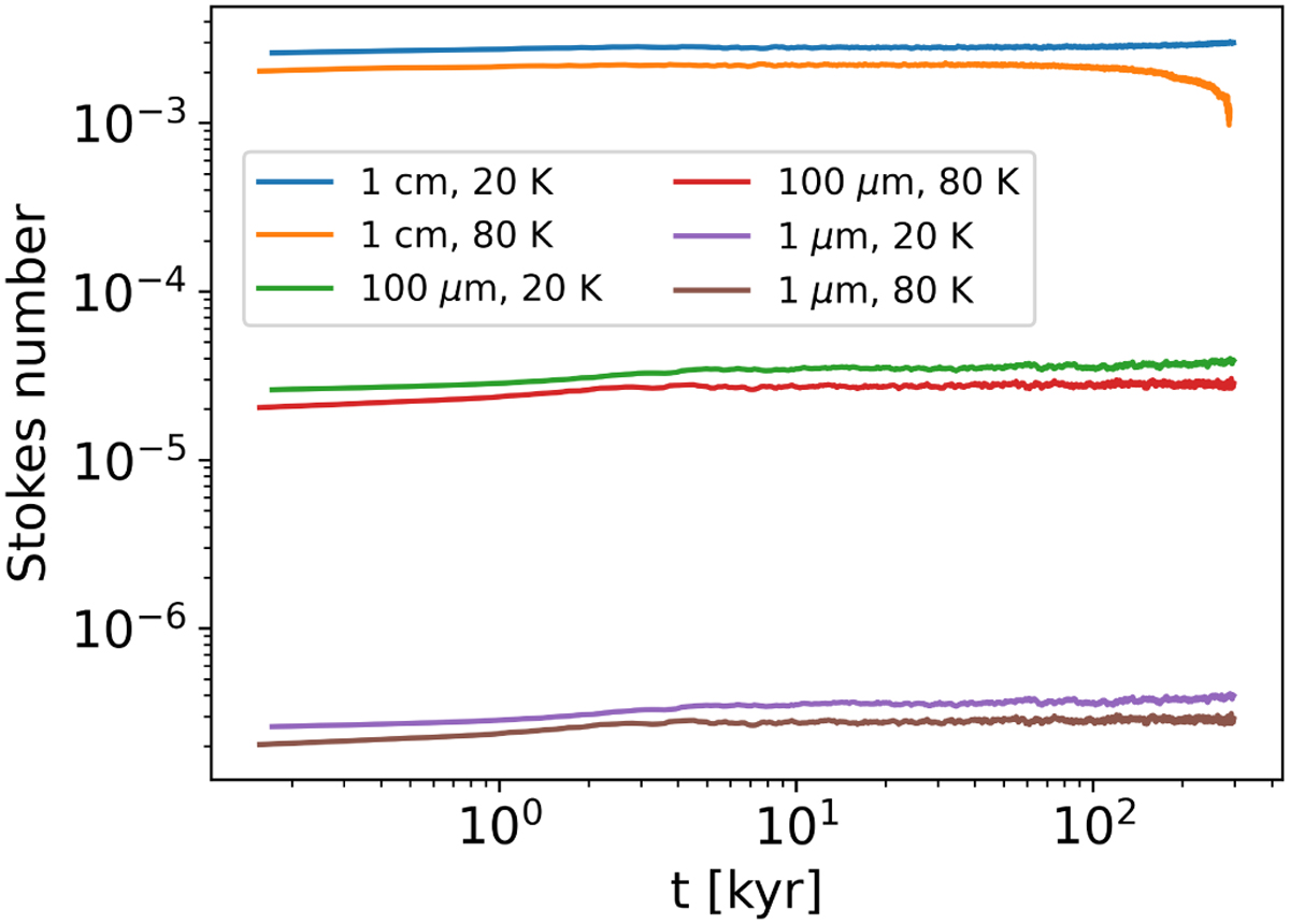
Fig. B.1

Download original image
Stokes number computed for 500 simulated particles in each size category (1 cm, 100 µm, and 1 µm) and each based on the average temperature and density of the disk they encounter and their mean trajectories. Particles were released at temperatures of 20 K and 80 K.
Current usage metrics show cumulative count of Article Views (full-text article views including HTML views, PDF and ePub downloads, according to the available data) and Abstracts Views on Vision4Press platform.
Data correspond to usage on the plateform after 2015. The current usage metrics is available 48-96 hours after online publication and is updated daily on week days.
Initial download of the metrics may take a while.