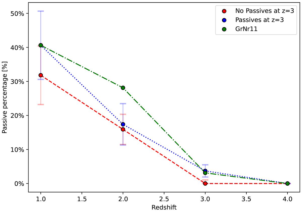
Fig. 9.

Download original image
Fraction of passive galaxies as a function of redshift in the simulated proto-clusters. Blue points correspond to the median values calculated for the 15 proto-clusters hosting passive galaxies at z = 3; red points for the 11 proto-clusters only hosting star-forming galaxies at z = 3. The green points correspond to the fractions of the GrNr11 simulated proto-cluster. This is a representative proto-cluster for us, because it contains a passive galaxy as well as star-forming galaxies with sSFR larger than 10−8 yr−1, as in our observed ovdendensitis.
Current usage metrics show cumulative count of Article Views (full-text article views including HTML views, PDF and ePub downloads, according to the available data) and Abstracts Views on Vision4Press platform.
Data correspond to usage on the plateform after 2015. The current usage metrics is available 48-96 hours after online publication and is updated daily on week days.
Initial download of the metrics may take a while.