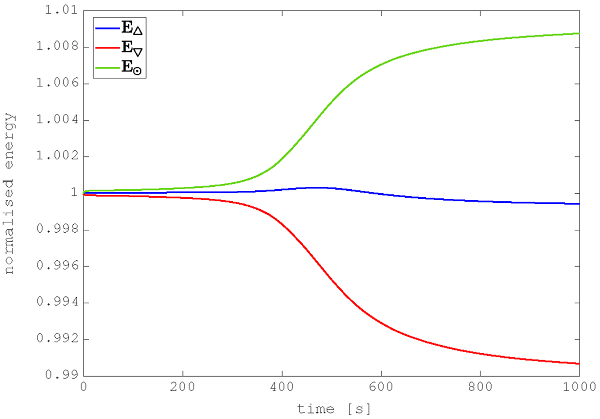
Fig. 6.

Download original image
Time evolution of normalised energies. The total energy, E△ = Etot/Etot − 0, kinetic energy, E▽ = (Ekinetic + Emagnetic − 0 + Einternal − 0)/Etot − 0, and magnetic energy, together with the internal one, E⊙ = (Ekinetic − 0 + Emagnetic + Einternal)/Etot − 0, are shown with blue, red, and green lines, respectively. The index 0 refers to the initial value.
Current usage metrics show cumulative count of Article Views (full-text article views including HTML views, PDF and ePub downloads, according to the available data) and Abstracts Views on Vision4Press platform.
Data correspond to usage on the plateform after 2015. The current usage metrics is available 48-96 hours after online publication and is updated daily on week days.
Initial download of the metrics may take a while.