Fig. 10

Download original image
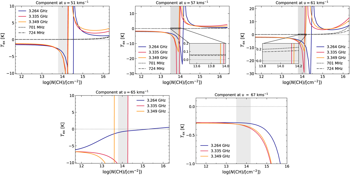
MOLPOP-CEP modelled excitation temperatures of the 3.264 (dark blue), 3.349 (dark orange), and 3.335 GHz (red) ground-state lines of CH, alongside that of the 701 MHz (dashed black) and 724 MHz (dashed-dotted black) lines of the first excited level of CH (where detected) as a function of CH column densities for the physical conditions derived for the 51, 57, 65, 67, and 61 km s−1 cloud components of W51 E (clockwise from the top-left). The inset panels expand on the Tex values corresponding to CH column densities between 7 × 1013 and 3 × 1014 cm−2. The region shaded in grey highlights the range of N(CH) values derived toward W51 E for each velocity component.
Current usage metrics show cumulative count of Article Views (full-text article views including HTML views, PDF and ePub downloads, according to the available data) and Abstracts Views on Vision4Press platform.
Data correspond to usage on the plateform after 2015. The current usage metrics is available 48-96 hours after online publication and is updated daily on week days.
Initial download of the metrics may take a while.