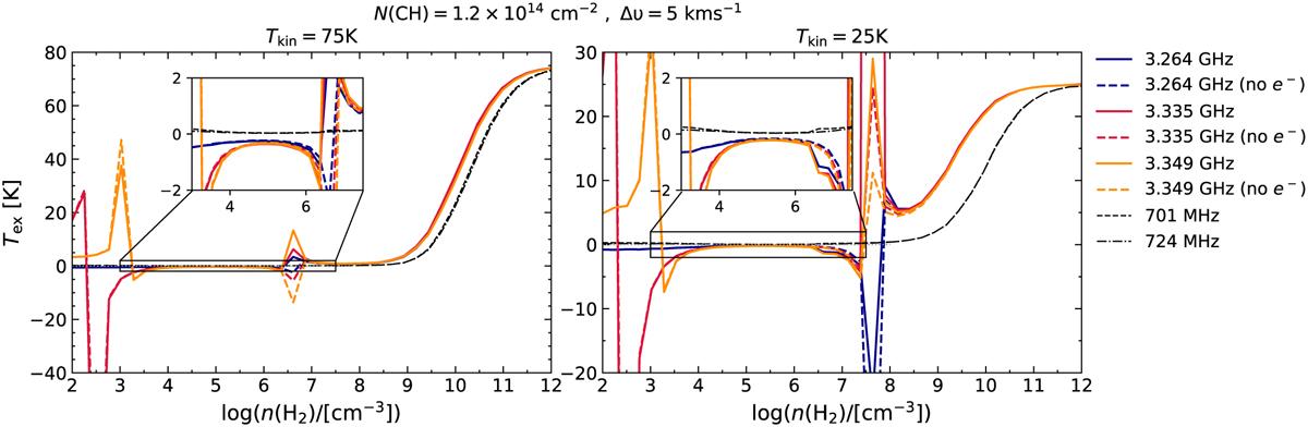
Fig. 11

Download original image
Variations in the MOLPOP-CEP modelled excitation temperatures of the ground-state and first rotationally excited transitions of CH as a function of gas densities. These models were carried out for fixed values of N(CH) = 1.2 × 1014 cm−2, Δυ = 5 km s−1, and Tkin = 75 K (left) and Tkin = 25 K (right). The insets zoom-in on Tex between gas densities of 103.5 cm−3 and 107.5 cm−3.
Current usage metrics show cumulative count of Article Views (full-text article views including HTML views, PDF and ePub downloads, according to the available data) and Abstracts Views on Vision4Press platform.
Data correspond to usage on the plateform after 2015. The current usage metrics is available 48-96 hours after online publication and is updated daily on week days.
Initial download of the metrics may take a while.