Fig. 6

Download original image
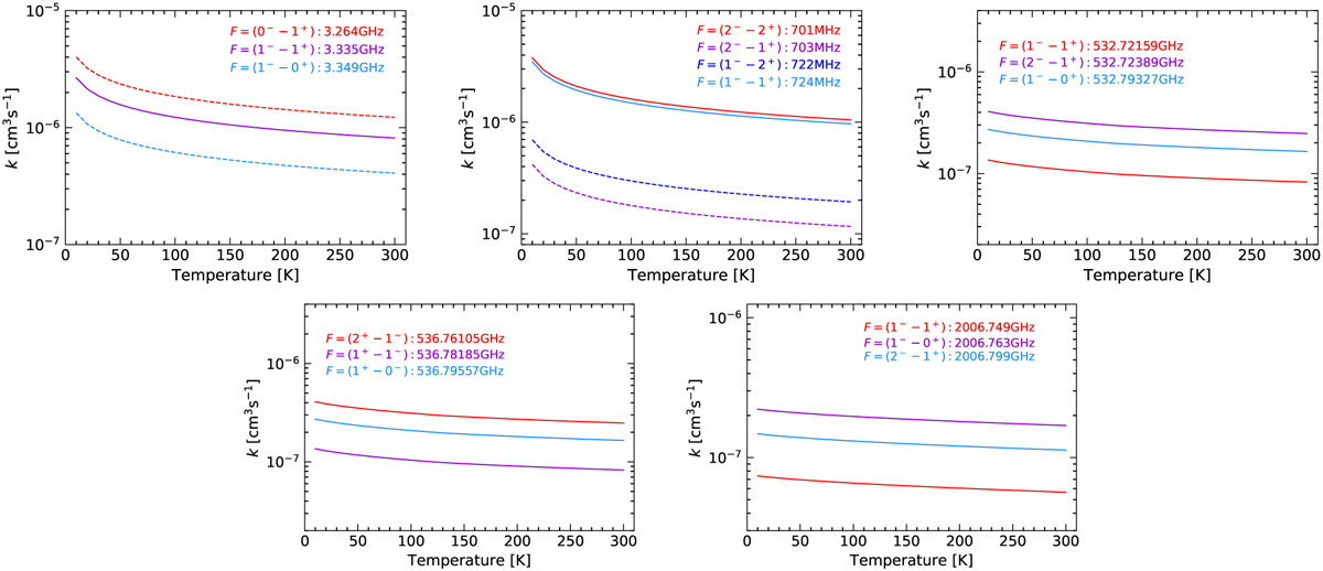
Top row: temperature-dependent rate coefficients for de-excitation transitions induced by collisions with electrons within Λ-doublet levels of the CH ground 2Π1/2, N = 1, J = 1/2 and rotationally excited 2Π3/2, N = 1, J = 3/2 states. The solid and dashed curves mark the main and satellite lines within the two states, respectively. Middle and bottom rows: same as the top row but for the rotational transitions connecting the 2Π3/2, N = 1, J = 3/2 →2 Π1/2, N = 1, J = 1/2 and the 2Π1/2, N = 2, J = 3/2 →2 Π1/2, N = 1, J = 1/2 levels, respectively.
Current usage metrics show cumulative count of Article Views (full-text article views including HTML views, PDF and ePub downloads, according to the available data) and Abstracts Views on Vision4Press platform.
Data correspond to usage on the plateform after 2015. The current usage metrics is available 48-96 hours after online publication and is updated daily on week days.
Initial download of the metrics may take a while.