Fig. 15

Download original image
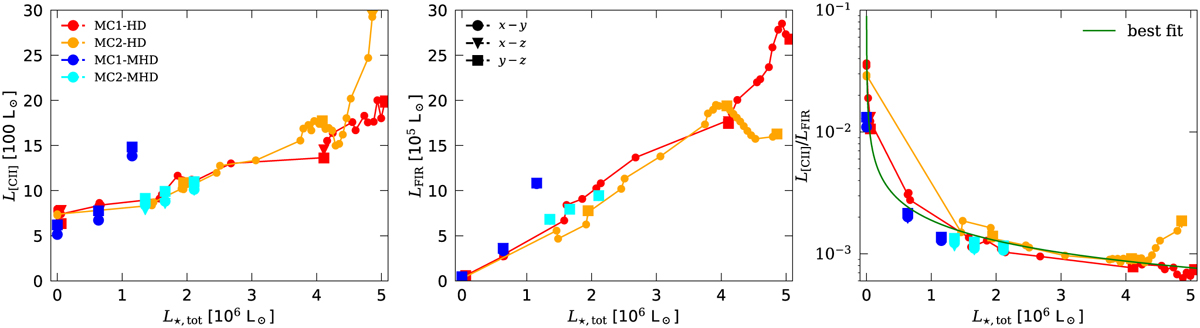
Same as Fig. 12, but as a function of L★,tot. We fitted a power-law (Eq. (4), green line) for the relation of L[CII]/LFIR with L★,tot. The relation holds as long as LFIR increases (middle panel). After reaching its maximum, the decrease of LFIR, which has no counterpart in L[CII], breaks this relation, which we therefore do not consider in the fit.
Current usage metrics show cumulative count of Article Views (full-text article views including HTML views, PDF and ePub downloads, according to the available data) and Abstracts Views on Vision4Press platform.
Data correspond to usage on the plateform after 2015. The current usage metrics is available 48-96 hours after online publication and is updated daily on week days.
Initial download of the metrics may take a while.