Fig. 7.

Download original image
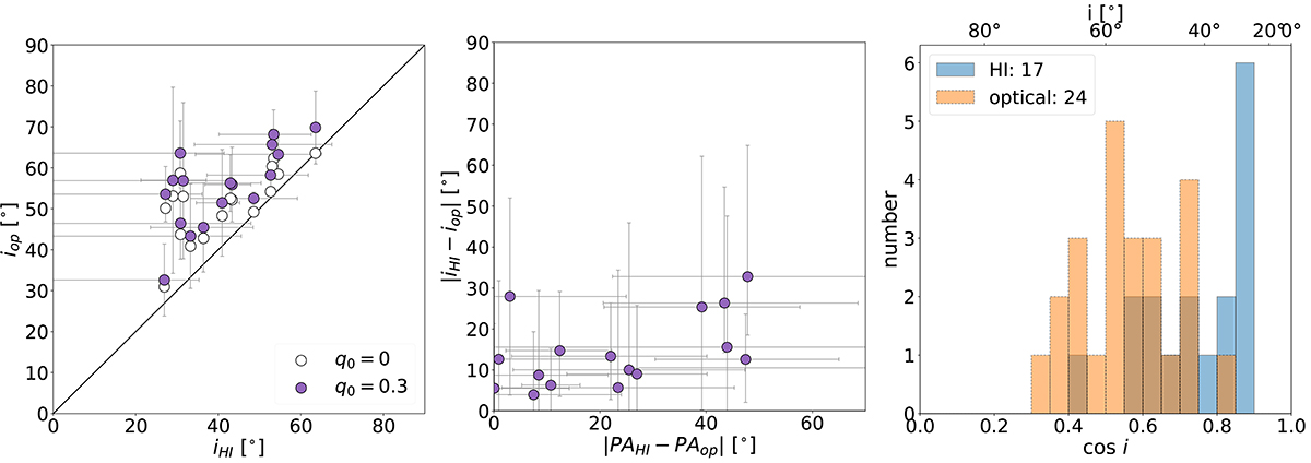
Comparison between H I and optical geometric parameters. Left: Comparison of optical and H I inclinations with purple circles corresponding to optical inclinations obtained by assuming intrinsic thickness of q0 = 0.3, and white circles corresponding to optical inclinations for a razor thin stellar disk. Middle: Difference in optical and H I inclinations with respect to the difference in the optical and H I morphological position angles. Right: Histogram of the cosine values of inclinations obtained from H I in blue and optical in orange. The number in the legend corresponds to the number of galaxies with well constrained inclinations. We note that all six galaxies in the last H I bin to the right show consistency with inclinations down to 0°.
Current usage metrics show cumulative count of Article Views (full-text article views including HTML views, PDF and ePub downloads, according to the available data) and Abstracts Views on Vision4Press platform.
Data correspond to usage on the plateform after 2015. The current usage metrics is available 48-96 hours after online publication and is updated daily on week days.
Initial download of the metrics may take a while.