Open Access

Fig. 5

image

Download original image

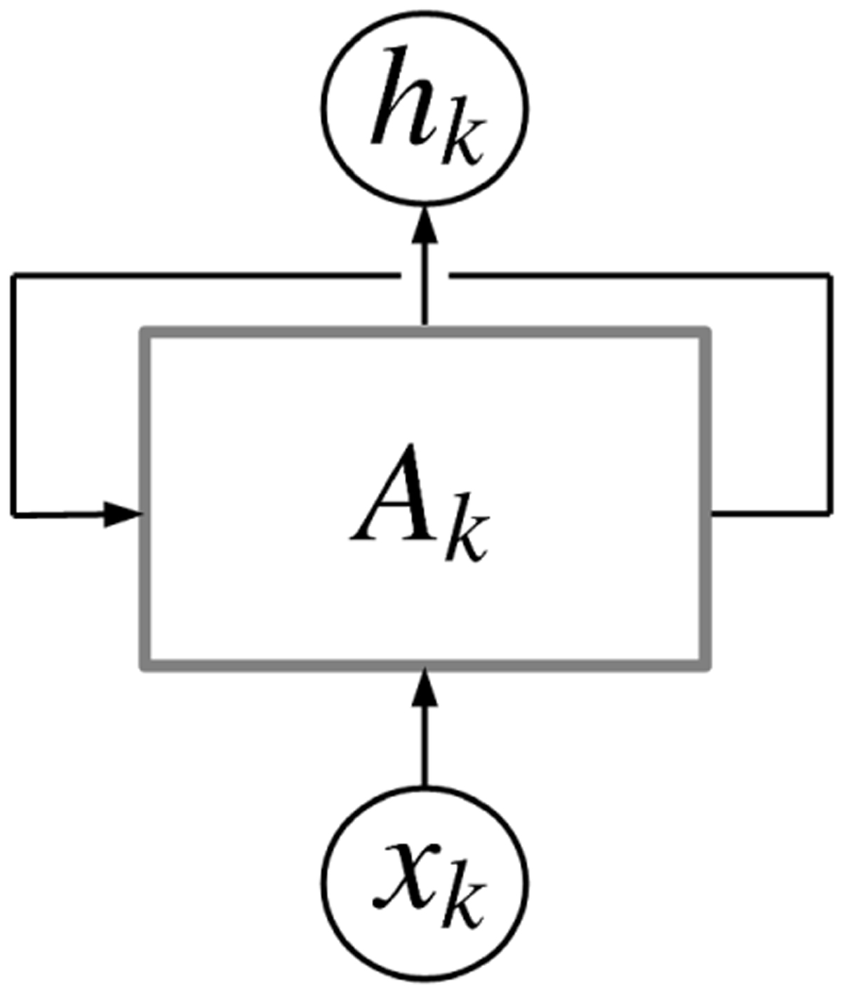
Illustration of an RNN. The input xk is used to calculate state Ak of the network at the k-th time step, by using also the information from the previous k − 1 time step. The output hk is then computed from the state Ak. See Eqs. (9) and (10).

Current usage metrics show cumulative count of Article Views (full-text article views including HTML views, PDF and ePub downloads, according to the available data) and Abstracts Views on Vision4Press platform.

Data correspond to usage on the plateform after 2015. The current usage metrics is available 48-96 hours after online publication and is updated daily on week days.

Initial download of the metrics may take a while.