Fig. 6

Download original image
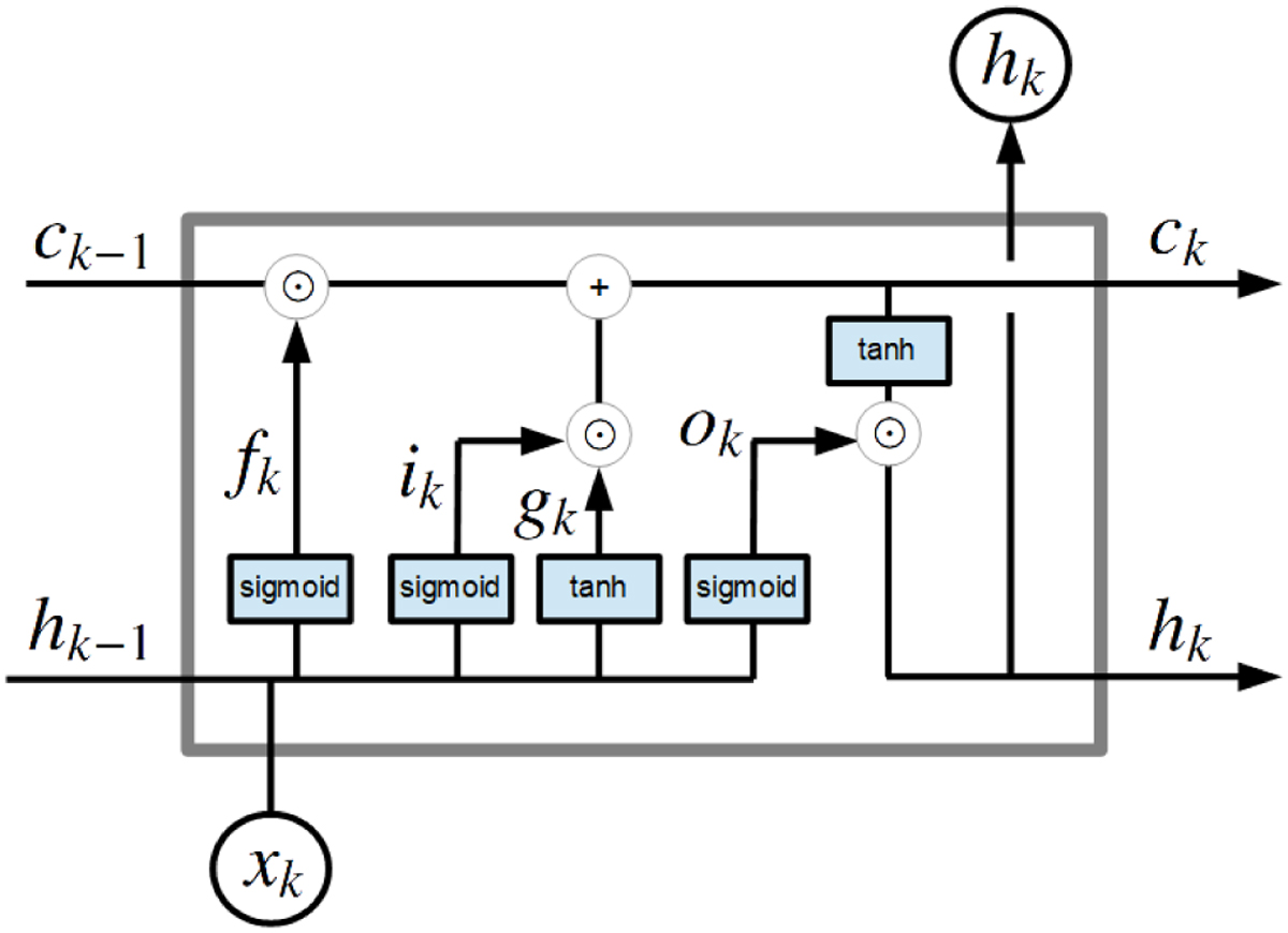
Illustration of an LSTM. The input xk is used in combinations with the output hk−1 and the cell state ck−1 from the previous time step k − 1 to produce the output hk for the k-th time step. The cell state ck acts as memory and transports information through the cell, where the forget gate fk , input gate ik , and gate gk update information in the cell state. The output gate, based on the previous output hk−1 and input xk in combination with information from the cell state provides the new output hk. For more information, see Eqs. (11)–(16).
Current usage metrics show cumulative count of Article Views (full-text article views including HTML views, PDF and ePub downloads, according to the available data) and Abstracts Views on Vision4Press platform.
Data correspond to usage on the plateform after 2015. The current usage metrics is available 48-96 hours after online publication and is updated daily on week days.
Initial download of the metrics may take a while.